Skip Navigation
Skip to contents

Restor Dent Endod : Restorative Dentistry & Endodontics

OPEN ACCESS

Articles

Page Path
HOME > Restor Dent Endod > Volume 30(2); 2005 > Article
Original Article Surface hardness of the dental composite cured by light that penetrate tooth structure according to thickness of tooth structure, light intensity and curing time
Soo-Kyung Cho, Dong-Jun Kim, Yun-Chan Hwang, Won-Mann Oh, In-Nam Hwang
2005;30(2):-137.
DOI: https://doi.org/10.5395/JKACD.2005.30.2.128
Published online: March 31, 2005

Department of Conservative Dentistry, College of Dentistry, DSRI, Chonnam National University, Korea.

Corresponding author: In-Nam Hwang. Department of Conservative Dentistry, College of Dentistry, Chonnam National University, 8 Hak-dong, Dong-gu, Gwangju, Korea, 501-757. Tel: 82-62-220-4443, Fax: 82-62-225-8387, hinso@jnu.ac.kr
• Received: September 6, 2004   • Revised: November 18, 2004   • Accepted: November 23, 2004

Copyright © 2005 Korean Academy of Conservative Dentistry

  • 1,630 Views
  • 3 Download
  • 4 Crossref
prev next
  • In this study we measured the amount of light energy that was projected through the tooth material and analyzed the degree of polymerization by measuring the surface hardness of composites. For polymerization, Optilux 501 (Demetron, USA) with two types of light guide was used: a 12 mm diameter light guide with 840 mW/cm2 light intensity and a 7 mm diameter turbo light guide with 1100 mW/cm2.
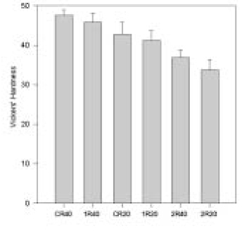
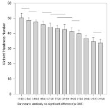
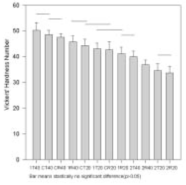
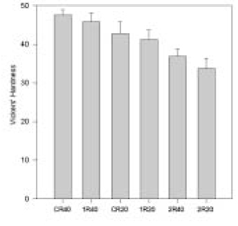
    Specimens were divided into three groups according to thickness of penetrating tooth (1 mm, 2 mm, 0 mm). Each group was further divided into four subgroups according to type of light guide and curing time (20 seconds, 40 seconds). Vickers'hardness was measured by using a microhardness tester. In 0 mm and 1 mm penetrating tooth group, which were polymerized by a turbo light guide for 40 seconds, showed the highest hardness values. The specimens from 2 mm penetrating tooth group, which were polymerized for 20 seconds, demonstrated the lowest hardness regardless of the types of light guides (p < 0.05).
    The results of this study suggest that, when projecting tooth material over a specified thickness, the increase of polymerization will be limited even if light intensity or curing time is increased.
  • 1. Roh BD, Park SH, Lee CS. An experimental study of the degree of conversion and cytotoxicity of dual cure resin cements. J Korean Acad Conserv Dent. 1995;20: 33-54.
  • 2. Ferracane JL. Correlation between hardness and degree of conversion during the setting reaction of unfilled dental restorative resins. Dent Mater. 1985;1: 11-14.ArticlePubMed
  • 3. Peutzfeldt A, Asmussen E. Hardness of restorative resins: effect of camphoroquinone, amine, and inhibitor. Acta Odontol Scand. 1989;47: 229-231.PubMed
  • 4. Asmussen E. Restorative resins: hardness and strength vs quantity of remaining double bonds. Scand J Dent Res. 1982;90: 484-489.ArticlePubMed
  • 5. Pearson GJ, Longman CM. Water sorption and solubility of resin-based materials following inadequate polymerization by a visible-light curing system. J Oral Rehabil. 1989;16: 57-61.ArticlePubMed
  • 6. Ruyter IE, Oysaed H. Compressive creep of light cured resin based restorative materials. Acta Odontol Scand. 1982;40: 319-324.ArticlePubMed
  • 7. Bayne SC, Heymann HO, Swift EJ. Update on dental composite restorations. J Am Dent Assoc. 1994;125: 687-701.ArticlePubMed
  • 8. Eakle WS. Fracture resistance of teeth restored with class II bonded composite resin. J Dent Res. 1986;65: 149-153.ArticlePubMedPDF
  • 9. Fujisawa S, Imai Y, Kojima K, Masuhara E. Studies on hemolytic activity of bisphenol A diglycidyl methacrylate (Bis-GMA). J Dent Res. 1978;57: 98-102.ArticlePubMedPDF
  • 10. Fujisawa S, Kadoma Y, Masuhara E. Action of drugs, detergents and monomers on liposomes. J Dent Res. 1982;61(10):1206-1210.ArticlePubMedPDF
  • 11. Yang HS, Park YJ. The effect of composition on the mechanical properties of composite resin. J Korean Dent Assoc. 1989;27: 185-199.
  • 12. Inoue K, Hayashi I. Residual monomer (Bis-GMA) of composite resins. J Oral Rehabil. 1982;9: 493-497.ArticlePubMed
  • 13. Youngson CC, Glyn Jhones JC, Fox K, Smith IS, Wood DJ, Gale M. A fluid filtration and clearing technique to assess microleakage associated with three dentin bonding systems. J Dent. 1999;27: 223-233.PubMed
  • 14. Tsunekawa M, Setcods JC, Usami Y, Iwaku M, Marshall SJ. A new light-activated adhesive composite: shear bond strength and microleakage. Dent Mater. 1992;8: 234-237.ArticlePubMed
  • 15. Kim KH, Kwon OS, Kim HG, Baek KC, Um CM, Kwon HC. A study on the degree of conversion of light curing composite resin according to the depth of cure and light curing time. J Korean Acad Conserv Dent. 1997;22(1):35-55.
  • 16. Asmussen E. Factors affecting the quantity of remaining double in restorative resin polymers. Scand J Dent Res. 1982;90: 490-496.PubMed
  • 17. Ruyter IE, Oysaed H. Conversion in different depths of ultraviolet and visible light activated composite materials. Acta Odontol Scand. 1982;40: 179-192.ArticlePubMed
  • 18. Cook WD. Spectral distributions of dental photopolymerization sources. J Dent Res. 1982;61: 1436-1438.ArticlePubMedPDF
  • 19. Manga RK, Charlton DG, Wakefield CW. In vitro evaluation of a curing radiometer as a predictor of polymerization depth. Gen Dent. 1995;43: 241-243.PubMed
  • 20. Rueggeberg FA, Caughman WF, Curtis JW. Effect of light intensity and exposure duration on cure of resin composite. Oper Dent. 1994;19: 26-32.PubMed
  • 21. Swartz ML, Phillips RW, Rhodes B. Visible light-activated resins-Depth of cure. J Am Dent Assoc. 1983;106: 634-637.ArticlePubMed
  • 22. Hwang KH, Jang IH, Lee SJ, Lee KW. A study on the degree of conversion of light curing composite resin according to the thickness of tooth structure penetrated by light and applied light curing time. J Korean Acad Conserv Dent. 2002;27: 16-23.Article
  • 23. Jordan R. Esthetic composite bonding, technique and materials. 2nd ed. Mosby Year Book; 20.
  • 24. Pires JA, Cvitko E, Denehy G, Swift EJ. Effects of curing tip distance on light intensity and composite resin microhardness. Quintessence Int. 1993;24: 517-521.PubMed
  • 25. Vankerckhoven H, Lambrechts P, Beylen MV, Davidson CL, Vanherle G. Unreacted methacrylate groups on the surfaces of composite resins. J Dent Res. 1982;61(6):791-795.ArticlePubMedPDF
  • 26. Davidson-Kaban SS, Davidson CL, Feilzer AJ, De gee AJ, Erdilek N. The effect of curing light variations on bulk curing and wall-to-wall quality of two types and various shades of resin composites. Dent Mater. 1997;13: 344-352.ArticlePubMed
  • 27. Vargas NA, Cobb DS, Schmit JL. Polymerization of composite resins: Argon laser vs conventional light. Oper Dent. 1998;23: 87-93.PubMed
  • 28. Tanoue N, Matsumura H, Atsuta M. Curing depth of prosthetic composite materials polymerized with their proprietary photo-curing units. J Oral Rehabil. 1999;26: 594-599.ArticlePubMed
  • 29. Kawaguchi M, Fukushima T, Miyazaki K. The relationship between cure depth and transmission coeffecient of visible-light-activated resin composites. J Dent Res. 1994;73(2):516-521.ArticlePubMedPDF
  • 30. Chung KH. The relationship between composition and properties of posterior resin composites. J Dent Res. 1990;69(3):852-856.ArticlePubMedPDF
  • 31. Pilo R, Cardash HS. Post-irradiation Polymerization of different anterior and posterior visible light-activated resin composites. Dent Mater. 1992;8: 299-304.ArticlePubMed
  • 32. Wassell RW, McCsbe JF, Walls AW. Subsurface deformation associated with hardness measurements of composites. Dent Mater. 1992;8: 218-223.ArticlePubMed
  • 33. Jandt KD, Mills RW, Blackwel GB, Ashworth SH. Depth of cure and compressive strength of dental composites cured with blue light emitting diodes(LEDs). Dent Mater. 2000;16: 41-47.ArticlePubMed
  • 34. Harrington E, Wilson HJ. Depth of cure of radiation-activated materials. Effect of mould material and cavity size. J Dent. 1993;21: 305-311.ArticlePubMed
  • 35. Curing Radiometer operating instructions. 1990;Danbury, CT: Demetron Research.
  • 36. An MK, Jung TS, Kim S. A study on the changes in polymerization of light-activated composite resin with various exposure time and distance. J Korean Acad Pediatr Dent. 2001;28: 293-297.
  • 37. Price RB, Murphy DG, Derand T. Light energy transmission through cured resin composite and human dentin. Quintessence Int. 2000;31: 659-667.PubMed
  • 38. Vogel K, Salz U. Influence of trans-tooth curing on physical properties of composites [abstract(3)]. J Dent Res. 1997;76: 1111.
  • 39. Nomoto R, Uchida K, Hirasawa T. Effect of light intensity on polymerization of light-cured composite resins. Dent Mater J. 1994;13: 198-205.ArticlePubMed
  • 40. Rueggeberg FA, Craig RG. Correlation of parameters used to estimate monomer conversion in a light-cured composite. J Dent Res. 1988;67: 932-937.ArticlePubMedPDF
  • 41. Prati C, Chersoni S, Montebugnoli L, Montanari G. Effect of air, dentin and resin-based composite thickness on light intensity reduction. Am J Dent. 1999;12: 231-234.PubMed
  • 42. Chan KC, Boyer DB. Curing light-activated composite resins through dentin. J Prosthet Dent. 1985;54(5):643-645.ArticlePubMed
  • 43. Uno S, Asmussen E. Effect on bonding of curing through dentin. Acta odontol Scand. 1991;49: 317-320.ArticlePubMed
  • 44. Ruyter IE, Vanherle G, Smith DC. Monomer systems and polymerization In posterior composite resin dental restorative materials. 1985;Peter Szulc Publishing Co.; 109-126.
  • 45. Grassie N. Chemistry of high polymer degradation process. 1956;Butter worth pub; 255.
  • 46. Choi KK, Min BS. Quantitative analysis of residual monomers in visible light-cured resins. J Korean Acad Conserv Dent. 1992;17: 181-189.
  • 47. Antonucci JM. New monomers for use in dentistry. Biomedical and dental application of dental polymers. 357-371.Article
  • 48. Rueggeberg FA, Margeson DS. The effect of oxygen inhibition on an unfilled/filled composite system. J Dent Res. 1990;69: 1652-1658.ArticlePubMedPDF
  • 49. Shortall AC, Wilson HJ, Harrington E. Depth of cure of radiation-activated composite restorations-influence of shade and opacity. J Oral Rehabil. 1995;22: 337-342.PubMed
Figure 1
Schematic drawing of specimen fabrication.
jkacd-30-128-g001.jpg
Figure 2
Vickers' hardness number of all specimens.
jkacd-30-128-g002.jpg
Figure 3
Vickers' hardness of resin composites cured by Turbo-light guide.
jkacd-30-128-g003.jpg
Figure 4
Vickers' hardness of resin composites cured by 12 mm diameter light guide.
jkacd-30-128-g004.jpg
Figure 5
Ratio of Vickers' hardness by thickness of tooth structure.
jkacd-30-128-g005.jpg
Table 1
Groups were divided according to the thickness of tooth specimen, used light guide, curing time.
jkacd-30-128-i001.jpg
Table 2
Vickers' hardness of the tested resin composites
jkacd-30-128-i002.jpg

Tables & Figures

REFERENCES

    Citations

    Citations to this article as recorded by  
    • Comparison of Flexural Strength According to Post-Curing Treatment Time of Cast Resin Printed by 3D Printing Method
      Jihyun Kim
      International Journal of Clinical Preventive Dentistry.2024; 20(4): 170.     CrossRef
    • Comparison of Surface Microhardness of the Flowable Bulk-Fill Resin and the Packable Bulk-Fill Resin according to Light Curing Time and Distance
      Hyung-Min Kim, Moon-Jin Jeong, Hee-Jung Lim, Do-Seon Lim
      Journal of Dental Hygiene Science.2023; 23(2): 123.     CrossRef
    • Comparison of polymerization by time of light curing for dental 3D printing
      Dong-Yeon Kim, Gwang-Young Lee
      Journal of Korean Acedemy of Dental Technology.2022; 44(3): 76.     CrossRef
    • Comparative analysis of the flexural strength of provisional restorative resins using a digital light processing printer according to the post-curing method
      Young-Dae Park, Wol Kang
      Journal of Korean Acedemy of Dental Technology.2020; 42(4): 341.     CrossRef

    • ePub LinkePub Link
    • Cite
      CITE
      export Copy Download
      Close
      Download Citation
      Download a citation file in RIS format that can be imported by all major citation management software, including EndNote, ProCite, RefWorks, and Reference Manager.

      Format:
      • RIS — For EndNote, ProCite, RefWorks, and most other reference management software
      • BibTeX — For JabRef, BibDesk, and other BibTeX-specific software
      Include:
      • Citation for the content below
      Surface hardness of the dental composite cured by light that penetrate tooth structure according to thickness of tooth structure, light intensity and curing time
      J Korean Acad Conserv Dent. 2005;30(2):128-137.   Published online March 31, 2005
      Close
    • XML DownloadXML Download
    Figure
    • 0
    • 1
    • 2
    • 3
    • 4
    Surface hardness of the dental composite cured by light that penetrate tooth structure according to thickness of tooth structure, light intensity and curing time
    Image Image Image Image Image
    Figure 1 Schematic drawing of specimen fabrication.
    Figure 2 Vickers' hardness number of all specimens.
    Figure 3 Vickers' hardness of resin composites cured by Turbo-light guide.
    Figure 4 Vickers' hardness of resin composites cured by 12 mm diameter light guide.
    Figure 5 Ratio of Vickers' hardness by thickness of tooth structure.
    Surface hardness of the dental composite cured by light that penetrate tooth structure according to thickness of tooth structure, light intensity and curing time

    Groups were divided according to the thickness of tooth specimen, used light guide, curing time.

    Vickers' hardness of the tested resin composites

    Table 1 Groups were divided according to the thickness of tooth specimen, used light guide, curing time.

    Table 2 Vickers' hardness of the tested resin composites


    Restor Dent Endod : Restorative Dentistry & Endodontics
    Close layer
    TOP