Skip Navigation
Skip to contents

Restor Dent Endod : Restorative Dentistry & Endodontics

OPEN ACCESS

Articles

Page Path
HOME > Restor Dent Endod > Volume 41(3); 2016 > Article
Review Article Criteria for clinical translucency evaluation of direct esthetic restorative materials
Yong-Keun Lee
2016;41(3):-166.
DOI: https://doi.org/10.5395/rde.2016.41.3.159
Published online: June 28, 2016

Institute for Clinical Performance of Biomaterials (ICPB) and ETN Dental Clinic, Seoul, Korea.JFIFddDuckydqhttp://ns.adobe.com/xap/1.0/ Adobed     ! 1AQa"q 2#w8B36v7XRr$9bCt%u&Ws'(xy4T5fH  !1AQaq"2B Rbr#u67Ѳ3sTt5v8Sc$4ĂCÔ%UӅFV ?_Aנj- H>>,m*>fzp"TrKkr^r.|_&]|*vPuܶvoQ1mwVJUhu-I"=LniAƕ8"۲ k*ҿ[yu:.vUQ+)%F DHyVBk>Hy8jݹ q~9D4KRmzQ)^ʔ.J%k_tVi5NTjg!'ky|5asOȻ)R۸ߩFMԿ3L4j6dڜ#NIwUF]JqB/(FafJRzq3\G՛ ?~\ 6)6W4m[O^L0E&rRMض*C .]Unl-1 1r#Rj/&QɈ׉˩s6Rj=5Tg.y.·Pӡ:JJS:C8-2u]d&vUz;7p9 5VnL֢"y)">iי(IDDd| Yj0; LRfS:ktYK%*N2^m|&dğth":ey)uPQZW)gcC3Pv&MMWd&Ŵ۲mvTRoժM03*F3Yd6\8,\hݻ kߔi<k NTwSԪmljj[>->ptU%'LR>&EBH$MQAUx[$Z6vi&_a.KIQ{hyƒ j"JOC9eFҝfj;˚Ω<[3_m% lQ@4g=5$(J]Yc-OMq<Ǎ wSzڗ)k$7VIP붾ͯnV+卵*t]iЎD31~SA1éC2u)ʼnQn-Uoi3:grI8ؓWm*G zܕ)ZקJ}Y YlGeJ6cB2I NS3Q>k=KTBT]W6+SOXQgGR? telˊ%-Re\hѯ2TF"C/OJΩ6r[N.0{SpljjX1“jOsӥ;ҭhe}xu`Ք&.)yO̒ Fߑ.$Qw;9Iw2o+RVJMSOj[SoҌZ%;`d$blQ{Ro{Imڌ>3egf\O֝Uzx"䢸g+mv%Gʆ:|V[N'&ס-ޝ'kfE|K,G&˳98Juin/\\Qݿ̋v~Ǩ!rtWU d|E߫R4d}.qPw*Ӭv5YEcn~f5c%MTMkb-F>5JT,})QHg%{("ӔȸWMsYyWNRrkkJr0XドnͫT}r-jj,Ŕʍ\Q2Ri>v$5!]"JB2WɅ)]VԜUc8i|.jeRO6^V.¸ Q&#|ܶ-*uOG%JAtRZRr]FFG\۩w+?'zչSѧt jz>KW&ot{7P&2D;&\\>Q2JzܗAKSfeNn[jRrԕf6,q,F1tRfԗ>vֶևj-&R'Zi2=xv~Elbsvm8=ӛ"ū񕜈BȩlWau[]ٷBߨF~J!|Ipr3R̴#Yp)={7:G{+:\W}n|Q#%)7^-h"Ƒq:M*%J&$T軨I333׎g_- ucBwwjp[6i25$̏bU’ٱRv?G\~#Iͪb7<<}Ezt" q_Inw,7-d,G÷%T* Wg1"䥱kq/A.,_KhqŒxwvo u2ۥۧ.bQ}XκA$֣ +K״ZUNmڸII{.v{5z5ѮRme[moyƾd~cRݾK'j.\i&/S6f|b=5: p!6i_ 4j6=.si˧eƾtS^c.Y^RJVS-Vi3,esi08?H$GvZgg?gi䤟2adw릿:"۪lkSN>q-4kI܋ێe̊qۅgDoѨ9; #T.Q;7#~_Ufstb_'w~Xw1Xk,vcOt._}v}8"(4Z\ۘgk?J?bm_c!g{HZV]Fkk%~gEt)b秴vΰB|꽸}mp~E6ݹv;7P٤v+ri*3Ԣ|'O14_~7nP{7ZU\Vű[ +7󖱅o#:ǥŬ\|3r%TJX]V7ez¨Y]lc|O3V! R zbJ'PnGqVJ"19WVeOF埜EaEJωqCN5Z g-9[S<$sUK5b|7sn\7x qmv##FF\ w[=-43$^ooVSiXօv7iB۴yg>]Vf"r$J3""32!Zh[K%7GvNLs+4nB/B{vlsobJaҺJR:0g%&zR\ S3T[&ִor*ⷳc3ʊO[iozW٨%$gn:ܶWwFBԹjHP&z u&F2\f;ipW73 [; '_̽b;vib!oec dC-tS__$Xs]l9&z$2/N>%'[}b{h/{`{Ji׉׏ YJB/X%}.|+{(S:qz]4_Kѵo`^tY_4S#* ^zvݾMr+TrkQ g.8Ͽ^i>ӈǙvix>$o( ^qt*&t1oJVu-ql5U6jCЉmĻ*"?JT=K'O/|=Vo}l0b}}f?X[?/\JSBe,kP8ETJ==?.p5ފgbU9}ǶdNKk—_$8̸͓ۍ8Di\BԿ-1v{FF]|.^ۅ{vl12׏z7-R7wE?\nh\jN/Kձr_oBw"N QMBZqe-m:ӨSn6j4%!hQ;sv'm4kcM=!8\m[M4{SMliۇ%eֽR&N:{2A8)THLK3Zj[jPBx#BگMf:G1\`edcʮ?|w(-̮vXt,bW2;.ιNHRR#YwTM"<;mk\.foIDjmlJ;vxy7o7i\,KQŊ9d^Mmgc L*.T6tLeIuOH3SJQ3=F/ʿ<9\JM6mN6=<{xkP!F1QR[I$6ُimXu2An2yԒMU q f[IB-'䤯jYm52&JG\zд\~vdg QtHGXw&1Lw+nDEdC1w|YJmvP)HZ>i0BPβә?R:QO["]I_Jʏۍ>QKyu^bycBq4lXF~l [\*N>-J6,Gq(Zr5h]CwYӤU~ʶߑ u*SIv%ZfJ7)! FS*s_\|IŸZ)J ]ܜi4"z[+Z,MOZ))}|Ʀ(RUNIII.S'ˍO~˨rn}M)xxӕ0 eyҵ7YMAB]ӣU:/ѭ*6bcwP͵ "+qēVjŹO|GtY4V j[mLV M -m>",B$ GD1~j6O4|LxnNmqATNR3ε|DŽa[fmn-ڭ+FiK7Pcm;r5 l8r{#-]'nrFh2ruycb;pW=njRqRJ(d mnpckNnʹ+6]tz~E=ʕ l ZZ5jSi3#47.Lcfe`9؏v囜.F\-UZ:*0_<Νu9Lӵm&)_3\^ҹ3"1n1v_|uRʞͫr'iȧN_kH׺8xXrj=\МH)V\ˬ.Xʸ oVRC}ySU9/OBY먌5 ٿwޞ)rw8Ӫi5*5ZΗcGƱ !ZۄlmpjJ -l <R̵/JAպZuq\IdUS 48wXJJtcg4cI~aqߓwŷrm-v)G7yS^7H^-\mŌAq|"m9IBnF㏉9[N+mmy/!KKۉ%n +BdddfFF6FQRN-U5;Sv'm4kcM=Mn)\qιqUd9F%",6MGdT%-+~ f%+y֛^3SrF>6lc(֪vۊN;g._0Sѧ]ETWرkQKzGe9ʨsKA"yC y2\[5 rԭ7Gk5Mzw_4sM3hxЊ'oÍ5jsub )ͪ~tR2H]R͍>̋m6=%(˿(Wrr-܅y5(ܔJ޺YunW̹븹NsqK ]/QR#"ZMDfD|43Qw|._ԡSqTZBg??O Ϥ)/E_U|i}2 9Z?¹0:x'3,whǣ?C y-A~=daJј&M?D1_PS+Oi&;a @;Dž7[ zZC"bv:jjMQk$M RԸ3uA\=wI.AwC"^.{?-\NSiˏ"b}T/}q/ o.1M}R%:-ZniʒL$SgrBW*,Mw'N\ɇ{s\j]VryG'8f`}'N<*/`U숻z CwHq18J+vԕKss4R53/&XTt1bZƟo\=%nO)h$rBi-nKĪ^ ջڜlwkYm[̑+/QrZo%TQ;TLs($2C:s.%+eoNttq۰kK7O0m_t_pZ1SsSM7"mevFZ[w -FJ*T*jФQRg BSu|]g:ɵzjqwmltL.e3sRMچkSmjkmWœިm++¦'tILk*բQ D,PB\lI[9{%Gb R6öۍmX-MaʉA931cs..G4CujQտ[9 }G-xwl)IQz j Ó"rqe&=]꾧֎c)<kӳ+0JrRR3'TnXi^xMF Bު*tIL.[h"2"nKzZe'ZV/RrNYz]8죝n]Ķܩ>^Ժ]u-7^\mZjܣ9+Rmn ߑv?oꋘ?&ƪy^N4o=3-ؔ̿*`}V݁ ƒPu8%$ ݗ]wt;\y\>='OjPIp/nJU8{϶FNMsf"ίNqƹ(+ ݮF2Km |jܴZs%zf*eȫ?]4)I۵nR&FX + [jDh(#哑9q9Eծj8noǕZf\J-l&Z˫}`ӎhyrΉn\űn]9pʌӣ"׮Wt?N4_I_~54#/my1Xr*척aS#DT >q ssΛW;3oUaJSRMDgQnt:Ql,/ ܷfRqiM Ȼ>Cob;A>ڦWقM9X~/!'MW.}Vrߔꔵ!5|iB(0-zF=}okڢE$^wW~nokY߮\6՜̌{i-AF*9)\t9IV6۸5ZUF6R$ŨQIq砳YUZ]eyv >hI櫥N )&l JulwE1GDOuFN2| }馥uC1rޫV+^gdb&W[4<^e4YW,d|htͮsUM)۸8:{3d{AѢ)~ \#J=NdƮꮓ90 |1K$v*?мS ]i$J,C,SG?/_՜pMSƯM|mG1V1$~K>CSvkuj=&) -,yLjuFHK{c駗.SOua;BrSqj-ۍZ#'Jys7[g2z/.u4+XV2VQ.ޕ)$"(%)#Z7suZ%j }BǬݕe)Jvz8zJf:hIN|svO1O#IEcۍjݽ:SdὮvu^@:o^5cs>i/VqmVm]ؔܢn6'vޑ̗J4Wn@OlKbX ;n:hgJ9ŻyǑz8f܌q&Y fN0N;[69 rbׅC2/#kE l&2~èMR.*%g=Ft.%؝e8<.e=Uv{~㻏"EˑnvDѭ͜Lu3u0:U֝$[M5<:oi+V4V9 6nXvx&_ q Qqw3W:uϔ2yb/(ɳ|5zQiJ#r|Hw#.W?4aDŲ\ugWG;Cw鐢K|xg)##=O.dF˟jMUvWĻsr.z]kPc9"]R)mkfOd*uYf١RsB Aîh=k]ʳUrrZsq`d#r$/Ը3o^&lRWȍyuW̦Y4QDUMJ65ƒ[+ygk XK_±k#y:8(TJOSQhJt2.DR}"5[) r)6V6u5k:eXZmv𭤔!푊Q[qQ}ҹLE- 8qIZG|UM4j}Mܕ[Vwm{} Naqµ"ԈM zOpKѰ?IAD3Ir0'/q1itoB5{%wkOBn-ۜduqIzYK60{+DʕܞqIt";r1mG/\/ym[6JƫR \L=S=OT@Ix[TMm{>ݾտ֒ݸӉLYIx>+"JVNzx||5rI?C{oz8۹e\R-^\A2F R+N9 vlT]"ۭ d)t֞i #E2jB@׵=#/N+!ĕhx}I!cM`ąZ*ŻɄҒ߮Y.Z}='/oۙ3IpW̮hT7cTSuz9>B}΄&h!>lӵn~j˅IvU.'v'CSZw8QK3G> ,J59ٷ+HSg䧎hJdzvwv-cvxS5[̊n~ؿ%ַX?O0\6ne 6kn9.ϯ} *h 8_QhLݣ7q +=XBҲ5?[[)+F`=4 }B,sNg==u*Nj9k_GJ)+R~GSPBȒZ:(K]heL=vKPӢwq(NrG^ثϣ?#tC?.ͼ[ۅo؞y#%ǛjVyLSw%T*s92JTM%"YkQО.q)gCͲn8cgi6j1MѾ[{9h^vƘǚםidfi.^RHmg&rׇz:}݃}xT$ضk'5s-狶,\vpbPD،=Okf.c#cdz2FK5T!&)|ntD<+OŹU i-G[EE*FDfeaf2QƤM\UG_{ǹm%\yrGy:.\4wjPGUJޕUV7Do\7Vy_13w;[?c]H\$IJ,*L]3b%L{y.JRKG2sq,B6T}(#nW|km+q5] r㪍bJ@y{byz,b踊3ϻJ,'^xd،)JVw#.Vټc''ÝպWtbRؒJz۠8!o9IۄS95E9ؔ-e9JR{dmnッ<[~n${~Њ$W?&ՐY_? #a.ߑv?oꋘ?&ơ|y^N4o=3t=~7!/M3>n8W홎2M`Qx+ z qy8%]7_~540ۦ彷]Wq CѡwkďyF5Dum_}~P(5.(X,K9vᯐ?leB9;Jhm#3{CxGE-S{;@Fz˙]=O'!ɿ]' r`:7'2bЖ>Iy,/eTy/V<.H?UYY{\^#ѣr9^7?xoRȆ7EoS_&??zϾM?(~Q-K&>"~aߨ t7Emsϛ+?;fCr)fY+>z$tIkjn_>vnrֳki-˹l= t;'EyC¥|/BLwBJdgjۛ$s S1|ɍV%JI6KvəhzIlBYɒ|0"Sy0F>eo5W)O+X˻u';v)2vVq۳kۮws?UʑBǴYO漪e2MIjPAک\b1)DDؚKm6ZWΨgȕ۶yjڳ 2ضN[C[|r@9Jfo<_eI7q.|cÊV߷:i.:$ȋ)1%%)ADZCEBxJ0MJۥy(bNsKM9k43IwNt.\%N簤I'.j|ƃ2$grBEٌ\}9:v*!n7M(ɽ]7c@XxƱԨ37īf62cTTfFK]9wntQHͮvٱI/f|j=7}\_V5U^+:uljSȃY(XI.ȱmo1甅jڎIZ2>#\*:gY|4k\8ZwSqtyA!+];бޞKծË¥e)#5ap.QK^8VdU{*ѽL\=qmjnB5>{ Ӟ`v±5 ^k&O~Oshɷ,;6nOW>u6{RqS`)S%jp\ipdEBLfTWy$GIYw~䲭J.1vSY5z.V>^+Ǎvc.I[R{QsNR3ӎfhd>y?UJ*}~[e\i5U^͛E]G_FS(Iɿ]i8:4zj~շsW,ˆsy:%O}iur]iF5~3M:Ӟ#N06)4ߧgdawIotiz:1r5YDZLHBSi;NQc44la=Y kQIT*ըl:tq2(է9VO4뒳܂~2rq'nrVZŦ[t7\oլfb/mlpc.I8콚q^1iE~䰳mi[dۧw֤ICfdFeCsg:i| 6擣׋* 96lust^{%99UNRvaMܽo ammi$em4D6DD\nA%$$#}۷/ݕr99JMն[oT޲E"KTaP+HGkŴj5TM5xƱOS-k`ۛkٝWz;{kS}F;~q|~^_|euwnE'pSupUP)V]vE+t =ZRaVdG6= *.ϼnj9:UɷbېmF_tޫgHjVS'śǕًdkkѻ_]Kv?nT>)^e=Ar1'3ԔILyD?:-^in):{7.؂\.:V }#뺾.3r̸*xbFM aȵz 6SQ:ײj[ 8nn iFMw rR"5M5I旘35f^j='j:nNW.ʭocZvZKV^ɚJ.cM1ZI7E'6rg탸5oZ=[m Z`\hbMUR١Ȗĉ):Jin!_7Dй+f̷eKҷvͨBPR(V`y6tw*MRΝcB.ڭTnc;P$8nFvm4(D(R#R-L -2:FP lxZKQc6I("Km%$E, 78uXIFA$RQI$JbInG]c[ֹ:ZM+n^')JmJMJRu{e)7jQDw~%yQl}BZujSSf۩QZ+Dzhd5o%BIc'GZ?}΍:>Ɵivז-%݌J5MqGWTVʦh݇ܟ~Օ_6 n'{3~mϬj'J11OȻn߃r Qr\3y٘+WӍ'WxEs^O3 o~[|7>]]H9݇ZomT@]?5B:Z߂'`V_+/MSKX߆ޠk3?o7y:4R/7þ] iG߬aBRU&?r&/} cQߥGj2?C5Yśe7hU=?+ x龳f-܈czW^7p%-(\D4h{UK&ӡn^m]Fݢ:`δvj俜F+) y[{{ 7 tu>gvrěOj'5 iRg[ͶFjGe n~qT$ci ۚ0oԹc*jL[sVWqj\ݻ&6"WoK:cnWmrv)o>66(F>=W^bf#c zzʞtپy%mՉPël e}J.\Zk4ttt>oEM=q)hJjI=ͥ(%]脼_88ф;͛gWG;Cw~˘$4=uWdĜTثNDkiQL9U*O"4XP`02,Ge-k5$h>ܼ]3vr6!9RQPIVSnM(ۓ{>;/Qͱv{3&-[rc)ܚI$n{Sv3[j00)-D3z}MRzVQпj,T[uVs0\}Sid;r(ݝJ>æʺL&c[jPK0~d(FKÝW\m]GTcF|Iׁ)I3~#oX%vҦEݑؼ5Żv2qAZTE^..M{ʐfȏ2##.R}*KʛZz^ӞN*lPťLf\G6[WVQquV]XAi)5J!,$iJ6o$tPZc;Kjx_n3`qIelV~vLy{fn匋Ѿn%;zV.n'-ұdd2߽1bZksPe3TI9)$ԩIN9Vơ\=2885N\ p)/a柛w9g_lױo8ݷ iixJV& ғRi{N^_oAŮE6Y7I$Nk$|Q)-*4Z)^¸%4Qm [I%.c-OV+C֧R#%ѨCe3i;w$G+_dy| Fzj$DI(=OA gj%v/]8qԯNIS*֩',Q%\44ZZ%D|Ǧʴ6&vֵI$%8(ԬƾS&#Z. }6z?b/|Jl{ץv&mpx4Z$”ڝ4-H%dGKfM:sKSRWeJAn]>s6应-W9'H]'uȫYvgK^\czp|My\鏩w/ËQ.)]\QiS`8uL뚛̸=J"ܻi\å'-)54Ue]:K\퓡vK xwBqrH\*֕TnzC.mT=t-H]SČ~Nu╏NÅ3f|͡G~B+Xm[Q7U{9"~jgK Zoʰ7"qJ,ekSeNGgϳ] ^.6:s}_,%eRg<5⿨z{ZPun#jRІ.6g T.!]xa c#jN$Zpl̋H WZu8WmMRýsĮ?Mco~sx TU҆Q :KDG4n42.<3/'^?6/ܠڒ^yrrÿr2\D}}B]^E~^T cɛ7϶Y[<֞[7d}2%QPqOLEQR\CIsj1?\}%tJ0e~ *sk"*)&ۓEi#{1J8Hrt|'ܝRr8)=ƔN'RVz:cf]F7bZyZUȘ4x8,#JG̒?.W9XnO]KO]%]ƻ O5Γ/3qÓj؍/r̺rƵ 5\&m6h.xoeX[=<3%< lZ"2h\Z[&jW3ejm?k&[]ųj+{N{66leu_+lj]q* 7g*knأYv= q ەdxЬZ|%GUrQ3jLŒqET]1% qkXYūYc[7Ś]QY\jko\</Lc7+'hMSUc6qXyؙ~6#ѯv.0$BQi5YyIhɍiy=KD!n3Vm[V%W-B%swa97ajۗ m+9~]fKq|Ddaˑ0A]_v޺mM5* F-BYHJ5}q>ʉ.6hyDmpD׬'-_v5;5[8K[viJ.3dR:oYHHh9I7:۽fi+wm^ [)odPѱ52CZUJicSw\&_s0uBȍh32džzQflcd^m|7GѹE!fO5]]H9݇ZomT@]?5B:Z߂'`V_+/MSKX߆ޠk3?o7y:4R/7þ] iG߬aBRU&?r&/} cQߥGj2?C5Yśe7hU=?+ x龳f-܈czW^7p%5|Y:SJE\U-(a_cƣUǽXXKiȞNlmۊڭڄR!**ܤMeȽ$|X5(Ź\rJ~ܮ]>'HB0cp XFr_c?f?7<ukSgov¥iG>>䙗i.+t+bOjIܶ . i^:nm}s}(3>NZ$2Qg([".>i.ƾ)B̋M8+"- >eE6DݥJnJˣt׻ 5.˅nJGwZD~!i۶a,Db3ZQ3O#KO5/֍ozuK'GbRi᝘NV_ҝcvם ZoX}F6z 7e5_e:ۓj=AB+iܔERadMBq*ԯ DwI/Gy*mĥiRKg6skY/#SN4e$-yXM YL?^ĸNNӪ{$r1JJRSLO]Aqm>V/s[~i/j+m>z}eI"Qvp]{ZԼ:{vPAG2=T͡@ڐ#u"E*>C;o$~C#_d/HBq^YRٽzIKbOm\~żjFFGdiQ(*/i*#.FF]©m=BmpQQQSP&Ҫ!T&^>:y)$ˑÐFčI Bӡ-t!bM WҦŶ'UZ=}zvn~oT/\ǒ'nr8 AJIӆz<^uߖ4eFC1i+v!3qNyߕni?4JZlmYFXFۼO0B\m[ tʄU3s"Sr(NJ;SKW72L4̏BVdf^Ҹj\]ȱ۪(ӷm?J-KEmWڽ^4<8qu%9pŹW~877ܾeVгS(յe^C]yX͹! םm4FGȋ\y'Z FX7e)|Gjt߹#gb\ŧq_([R8[qU$Z (ʻezV2V!iQ,i$JE˂٩ a(GK'O{vnBvryRd-RK4=qxZJMl_CuuIz @Rt㮽޳!|68\-l[џ84-2Pu" RJ_^OL>G1~XnBŬw6J0*Uvlږ1N G1q9IUm*'oWu][&UyYZbBZRZNfEJf"+2nF~Eû7n1xv.RUM$6 lAxSQJ&n5ܞwlEói"#>4׿Q.nEq7Oko[1wg8ZQwZYiqtm&~">Bo?w͡ni2峋NCEy Ҕ+%ZJ ʩq*fpˤl,~^Mχk1+:ݕ z&Y`KLӪУDr3[*Z :(SL&ݻ۬Vqsyԭs x|iI߽zZrg.:mp%6ԜvgmpIUt;QbS.Է) ǨKSV,*lڌ|5Jt3#NP.=+OZ~/G سIgbꥹJnl_DUM\iM!֔wVZuԺ,yV.Q>f v:݇WiaŸN5Ҕ[M7SsrvǣrMW= \8ZW-jsnڕ.ZnF2qt ً[ٻޘY۷Zm"Jxr&NAfA-݌to9s359݆mZ+N1-qS$D=17 x׵+%_ ve4ir6Z$FDڗnFtOr'7'{9C˨ꤡaYoace{Refnft RR"4%ʌm:Sj3)OdInTO>X'vxV#jܮw9Fog;5.~Y5\~18YQܹvj4+~t7S ﬕs %^۵ڴDZV69R^Y+rj$ԇoJKR5wB9C>Y:l+EǎS{ʲ{T6Wi* ^^9k/y/Cs\g*qڵgn4T8mERr|Ti+iPe;;.i\EBEJ 丬i9ɧM-ԼsGDrZ>r#R>~X9y4b棇9JwV۔%m(b[Tjvl}۩~nDԺ{Zo-YuK1vx.nWuO+jN [ٮ0%"΢CdTJK-RަH"$I(*ve &҉FzB,_Vpqp9m8werv')E;o&QE׵^d9˦j\_,ڵugZȻ̧8k+jK{wmr@3ӭ2 wFkzFVqs1؛.v'I%$[iT]D5Dl2 nk7qUxԫLS+sا3/ΖeZYK<["%-g/kRs:f3;*E ت wJ%)5&+&rw*霣i|sMҴ|;R+fm䡩.!**dӶ-6s6,]zAXMWjmnz%SJߴm2UXw7MQ%<!tKys#P,W>s;3IYwx<+i_\\\U6 u7P|xbn_k&ӓVOe䦒 VUr,-㘘"-LZeOSҠթrEvq8Kf%5%&K"#%vD/.ZYYŏ+p$nZkvއuW9㓱Z G wYIFyf)?ƎUm5ԉ/'k84{KO:rQI}XRuԪ|*lu)3qZ[mSm5R3".Xcَ5c®ࢫI*۳~wRϿQWޝ(EJrri&ۥ^ʶ齲Im|[yb;mnm֩uiܘq>E+Ikx߄3r33-5𹻖09ϖ9[Tz~mr5NsWl$oPusޛ^{Z;);sڹf\3oٹZmԉ/'k84{NO:rQIBø8Bݱ3n֤DiK4u& ofSȒܩx<˘|N0Fչ]qsp"}! QWw@t4ӭ+cO5%]'*{eM߲DRO1y*q8w++e!c߶ܪlZWّM欼 CQ̼빶lX{vib/V/ ai;x6~]+z]MWB>re-:lgk}պ!#9?%܋V-c[z!W?c7YNm/jRr[HOzԻefճ0q15Zp#rkQQ0tU-AmڵP/cȕ?0cZYj;:0ZM=D6g ?'UN+ձ[K ܖB2'xq9{|۫N0ku 7xaj;n\ 2[VznMlWiKbSk))f..)Km)&bGZ=>OR܍W:j'rM'wYz&/鶧{Sʵb"vջq[I-ՌZH._x*BagC'T(Q:$ͳQcMCKy?3g'ߝqnT);qs #ؤZ}OOI:cfnc8W~qy.;^pVl]Hԓ>^H^@7-AA܃nmL(uWܻS߿ Td95Bdh4t6*dDh!EhI[iŨ\L.&Nc ܮf^;$R)\rip9I|ٺ?#R.ZDZ;/]nݻqs\QE9M&Bd ]N mN*D>tgbK>+ˏ.!23]BȔR1ɝ^j'k2ƮqBQq[$di]icV/e`޵B.FIIJqbi>Ӥ|p; 6${)RU>_e}^dzdfzi %ekRVUS?6'hׂ)5.\+qUgzE2C˷ecŏ^֔ibk shesFWJ#~> Wk~ݨ}ڶ>ơǚ)׽ZƉo~B-ڼrvoE:Ʃ3ۣK7+Y`WirS):{>ڛ}:wԨ(J_";6R%[u&ƫdZ_\'np| RJwNeTW,=rrbnkڄ[M3ܴz)3- R.?:okۼ0TU'w{6&w7j1z3ON'fGoO?)S_bQ_¿R(^ԴԴG.EtMڇ&RUiW uQjU> Kiu1d<ѥIQ'RQ1:O/lŗᏩiʂv&Jc{D5 Tt)1.n[n۶X}RjqnOʽ(~[Ns{ސ⛌uO,kgo֢dRNQȄ .'6W!׌P朼tdZjFGE"]K@'i۪N;sI[{SOzk>`rRR+!σj8&TjlvA̷Q?HyjyLHNտJMjܶT۽lG?SnKN%<‘ nq[N0Sq[Ta(&t(|HGO~gvkݻTR4&Z$#ViOY1r$6YF?e4U/Mvxų:zbU^gQQ+NW_'4jfz^c'#`rvrڡ(IJ/J ݦ6 ]-CW |_{v*_q3^DZ}Ic6Uڌ8p7{crZq5ki`)mU6|-Z5^iEz3P=:Cu7DF'k%}<C-޹ֲ̱#\,(f88%X-N(ck0VLR~} G"-8ӏ/ϰKq?(#nrVTmZ;zióM4 m |UT'C^_1X.gXM{%ʤd 4\ovN":"y-,T)fLQgۢr=/CƹǨJVr[a+!rT|%Y\ٱzsS>jͱ.oOc6f$q% ǒGo;n[];ߎjrk{~\VۓNIGn:iqxo |~t5)Rxעri{Vi&NUOl_ѮMfsޕkЄay.0P{7N((BaIP$ K"U6Gl ݙqJRu+qN$ m#*p<|{:>-Ev=86N*MM긭U*uѾ?/^o7;'u,h4݌xښRM:5.(/ \իU.{F^rmF-Jɷ.>Q"[4xT^OZ~mK}T0ݛ^SAo9u?lX(' qj%=X}"^e4wˠ|rܫ 6I\Ķ;Ӻw!'ڍWg{ i U_9Avhۣƾ+:vs/MK[ɭīe{`Zgb}r[i'GE2J7Nez579wRq+Un ]J.cJ4M:h箽Wxxm^ pc\wcN%'My $$| :$Fqɏ¾^қP9J6Wxvu}ݵP>Z'FFdg"-; [¢cmWkÎT8nG%ݣ7*\խCLRYZͤiD&J#'ehbSyXK|y*ӞpS̍R`[pTr/Eg)K+92{_ n3zwz'oŸۤ+sOj J:`T>Cf*lwd\fYOP"R E֢̔L4ɥ :;.b(B02rJ蠟9>V'9M%)IqnhP<%,r'P/vNSwr#w"ݨaqc(|{kd=^0jTMR2ULNz|.<|^PfY22##!,K~E BEJۜ&jRNsHަޛg\r,v؜.jK3)[EJ2ii{KEiHP^&]Gn8x=K}Wx/KI9-ϵwQ%spܾ[^R}S3$qvq8M[ ozKxcqmJ/ӿ{_}7&ݨ\f6ZSyQz& 7ۉ[8~UNn|nkiTB+4RI8'Nc%tn{!]Ȋo.nEmʱn𵵥J A+wy#+ikǒڂ;՛s85'KmE:Ђu""Iģ5p=БbTY-ͽڔ詻ngL2Q}$de# fs^o{DUUsfwӶ;s1T,ǤtޒQ\෼J=.tKU,7čJ5 N$y3kdSMQU~mO[03 $zAڟsF5^뜞"Կ QHmrR"ӳηer+ҔZ]hE-6Jmt'ޒ=O[sQj)6K}?e4v_KfZheޓ=BV[bY}lݒTTЬ{ȫvO_qpRApVŗ 6ju=*BR)g "O1yhb=tqJ gtm\b3RY+JQ^Ō֍\յ\>+uSi{=x ^w;uӘ#ĸzLn*$anok߷CBӷ}5Yqvdž<( "_OWit5:EZj2 B ρ1̊fi[n!HQF82q1牙nqnEpT(2RMoM4ϳOu ':֧_Xjsg jP^(ڙ{2%E͖j^}ZU[Q$'U) <܂%!s"m R'G5M0<+zM6qYm$ڕ$3ǧH]?o2N<8F1̻r_my[Rf59NjpzBnl7*{.QP 3N&^BLJPjAHCK2Q}$#~YMq8 k(MFMU)8MEqTy+Tʞ-ar5yܕOXw!e;q-Jqܶ䓊Y:LC UE{/t>r"lI9)3KJjϤA 6SEE$d߇3KG*En|P\ԭTn6I-ƍKTj<1H_zwGr19wF N8ݝ+a9ɫM6mhePi%mmD! """"""*1bRKrD"vnrM۫mmĽm]ӡiG~e"˩ lhRTMk^MX["Jݱk7_ޕ*DqĒ&flՒ}`W}~SմZ{ĕ~wm*/{{ѹ_-0ط#P]xlڱ~Tn5wi*lڪ (JxioϏbqKYR|!|KN53 OS222$jzww%i}>N)E+rۥ7c$Ofl/LNث\6H9: FY󡈾I)fB֔JI_ ֣^: 9mY{66㒢7Uj]:.-os[R&gMF3˸#໹kmjq^8W"PΦURjʄWa˧T!͋ lW48JB2ko+ /Nw QwQzQ ے%$ޓ7^YL|r7!v%Trܥ &|M8~ybrn[RV gSn{{*#2#ԽᢏӴHak" ӌcwҜw&RJ07ױ>Ļ =^ BɆ)v32.M1=#6%̠tҤnzqMwԣ~s*%-j|_m*.Yx9Sz=)qE4 3pk+,`=kNRڥ=B=nŔNAx)Q$ԩȧ4z3t#Z2lҮYn$S%y- JzGpu|LBV7ZW#;Wwipܷ%(6jFG5#{$D"uۭ~]֫SrD܃fҎӾ+Tu>-ZTQ& N|$沸ii>eRWݳu'[O̻j8JۻEѩ[]vni= ڒ,[_%kC7I3Nv$4ɎЈeٸoUu:[}Do5|zNq=Tre%ɧ6&~DȍF]ƞG5q m]/w/ \ʲr8=oʔe9U(W"|S]uZd#?Se[W"ֿh][-7Nu:T=)R}.;ml*5Dlf $fF(̏T hiIUU4Szɕ t(%_|2 ~6eM;TƗK[f&]LK^CE2[ȏBOd;Mi|cx,^6;sیGpQ\NuJIFTJ~đArh* B"$H쉩eXPRj?sl"ԥ)su]xpԴY%VESH"ЋJǰ K&5^Ukzׄ8kEgS2h&Se\ Yl]WҶp-ZUvi7QS:4byqOo+[̺腋[6-_Fo.6[7$p&^ _GZԸߍkc.qqoI[9m߸YxOZЦ1uoiSH)P9Uʄjcq= S>֙NeR><;+ڌk%_qT].srNO?s[=vH[]RZHRMtᩗVؾ:/~u)ԍdg%=edVrISb{6vSu=(ܥ)mTv/J}̇8 S3ad:^hBSf؉OɔLhI_1d8,L><_A0y3rXq"'(۱;mFNII.v5_(^q~X>y{3צ I*Vܛv/jW' T'NR'j%ꔩ:mJ3SB}΋!-H-RJBТQoedi9tjENenPpke.%4]#{:>mkEɱdYWl\\\'nRM4&U>?Ќˉk÷!𴪛]]5}UqG~ݏI"O~s6(Ļ)qO~h}uԕd}Q~G,oE!&G&/]_H-O=o{k\̭bkv.Ô܈+;arZx)m?M\3lU$mk-CFXjTv6u' g:Vn_*qk:VC A%'4JV%EY)#BғO4<e׿jQQ]yUr4=wm[K1r׵%Iũ-O}|kC;/VcݩWZ)EHdžTru]8hgĵ-;=>U_ InvTm_jBM+QiF"9*{DI/iuo(=TzϖmPQl_v4z>T*ȴ>YF;ε\t]EH4ꌇ[VrLzef 2T^V>g2~kg5~Nק;{~Z~W}&ŒBӿS2$J?~(Yœ"˲ߩ\O]: J׉ښT{mmIѩn3˧)4LdFZ/zUG>U> n 5& ϴ-KJi2o]uKljvK3$bԔҚV旧iY5.ίfi96v7!v))FJM4{jG~Jt/lUE%pTAFe4qQk\ve۽/u/Im+W')v{\-E|Pms7߮DZRr۞/mu*1ՙaB܆ -xg3#6ۥtRogʌU)׎]ZҞNnŞr}F1Nnޞ;cZ{N}ۿMiuxʉ*3qi'9KHQ$WJxXyرŔe~[v5~/jN9Q4o6rJv FrdxM*iRjMzUinHdн7ᾞS=S'7 } ̽zt7K|_g J=Lq+/Bw_\ۧx\HJUPzQ<hqF[V0x==CsU7q|^ {)Iq38$_A(VgcKu06Ƅ"%i~_ˉk QCܣB8Ku/񋇵u([w}$F|8TՠI.E !;RJ^}MɒD_q2];Ɖ{5}*n7nEInO{Mwv}&q+v [V}Ĝ@%>#dXQ$f;iep.GquixVt x6bj͵mlKقQ[T]zs/&yەnM'W}!Fp_d^Tu N{ɻ'l{խ2.sTu{W^H&;1s)Pӛ6>$mě;Łnj= fLT)>׸+qReɴ[UR\L*P/!$Ӊ3Q 'K=m~6XqW3^W+ųO_[F$rR*u"T%@O +%# ]˽!aܽz{ͷvQh쩎]hGތ5ɇ*DzJDRNLi 4:{~2FmXY-zzĽ^f=]uū{/+&c:Ma{ĝDp2m܍kHș/(--m_vݮK(V{R}.k&yƴ7i^4@3f sK3^Ř˸B=]?gt5KbZB<e;kQLpxuWC}n 5ҴepB##~q= `x]KWF {GfŲ}?G.I9pjWkU]>={7q{kO/^I3==f1ɏ%nnʫ/Zu_yXN<57ۍ'vy/"8넭M2eԷ&Y,в33%IkjMr7xf nmQkX4踼>a-GcIeތw&U=-:qnW)z¥j :WqSZvԒ#j"KrIU)%qrmRoDGQ~SYRsu*V)  ,/x)MFD6O#]z 96[Ui(JRfw'y$GeUީkdMF-ݻ98F2d[o{Rn0n-xsV6Dh|Eb2E:KCOӪv4SJCr"J!!m,hRLD| ZYFm/X~ΧfrN&4Ƒ=Z9Mh.Mܵw/BdrܥniŪ8ɧ|y%œ[M=_tj?F!z5\evM:\ ~F-sg钬OWq“iiȍ<Gi%%n2rqͻllƑ)okw7}\Uk-:&fj솘XerV9yZuʼşdFC=rmo%~ZN78X(N)_7.Εn1MpJ}62jjJdI";R5&iLԸc:jmqiQj$ujp\{;v5B񥍪Xn Ą4qOERjzN(Ga٠䌡)p*v(J7#ZۻZ8O W uONb+^Qipv9GvֽƼϯrYƖKGJQDNPhRJjᡧC"21"9ѓS1;R_O7/WGz)8fE%F2ukmvSov/iZ&/]~KmI[:^~ͤ\kMi稜\ywJt3W7 8Ʒ~ݥeFgѼw"8VVSج\뻆}ݭ/J6Q)d|)zU3>k\L=;ow֯gN3pKѫ|wmkZ$z^2R:E)f>ς нd|#׆?\ǔpV{;\$ƵE%-ͪm0S6[n< kE[}mvE4DDZ^$OZ0*$~XUv҅B@^?]so#%ojw;Y#SxxueBگy v^i-)s)zV jC{7Gt.w3v,ygg8s]aE_,*E tY5k٨h=o"m泏:\6w噓aiL׎n^c\75AGkЯ0Lf46َ`egZ˓p/k;̛]kq!ݸzpԭG"}R9Ve>ˏHUjJ-&7nrnwG*Xv\˱/vN}O)ʼn&CV͍f̵]r\PMB-6Du-#RͰtRN^)mT _}nSȕC*_xBuTkJW[`ɩ`ejvsngP ڻ.-WUtܑqԹQj)t;vN&RNũT+8%IXӃ5fK՛-d9 ]CƑm|nZ-6=Hz,*aEm W3VzRšdY~Xf׀Xx"]s;)5u*ُHB BRGS6bݶؿ 9j[1*jױga7oX CUI%0v#~\-O-Ꙛuɷ쏪&5mY٦M`LJ2qK~HZbr =N'YobI. (^ ׾{_ ?OJ`S`3BN[}5w6:ǵ/iSlt=4F*d&T4y/#. ɵim5Uֲf 眕6Y7 fơ=3dϕq뚩$qTM-%r!$@A? ޾V0c~{[{;򥧅a~ڵ»&ڄv1ek=wb MLkNAԬw-x>~/r=e73VeVN)K%Sښe"+3uXuچrn ֺVzscJ峻m}vb㶓n\YbIUBT%*,0nov=;z꣓S/nSXSpl##k9mXGrZv^Gde!ŷRԠzQyjC]`gToPov{j~KRBMY}i[߶9KL2ԉO0K#m>wB[ٍ+n[[b٦DX ݲpo] [\m5qdT()mo4Oy9Ie b][wղmM~vmi۱~t \}$яimRk(L c Cvk7r9_r1 ;zv|F@KyZ[&jEji/"6$69ml#e]9s\{ScL}Ȣؿ0q/nZ*t,CLoD߉Njǚy=Pgmu6^]l-["çUʖMlʍp-"qmU>۷uFOJ%Ǔkx 'g=睋k[3u,{³WɘݪF]ՍeFX"Oy\,cچ=w/gn Ļ]#2? vqy-gXnR.^}ݺFs{ŝG]}e|#0mjx"ƬWكm?rgU^xVB":Dt>@LRbun~ݭ,w+v⪕;\U(RYa61>#Jm˞Μ9g9XKaG='u8gf}'qy#ɉw J]We.ʲ-<+&q%s?2dњztҼn`cΤmmqMdz O[-ߩӲ&;[tmܝVnr">{x<8U+p:Ig]zjGkt,uzf}dؠoJaکqEq -(:d<պ=eKy[˗^%ZXkX[C2߱\ITTLGzANM￵i]K>UsOGDDD.ZF6* ҃V Zhz{'xp^`wo8r0h ZmJ5"jb[l=yUu7-;7IT%:jFjߖm0tzU'K)څNۧYJ)4IQ}^KWm7kSP>q;ނ#)'n7&׊r?óM{IwR\j2Qn[v pe#/tAF\ϵ225q֒om6z})6҅*oqDsMf CNIN=T S2t,_ѧ}kveMF0J\Rnnݙܹy[rUc-j{yGtkQ%s]5qB.Nw.JN1LvR Ui5J ZESQԙr):MJ+g}χ!2;q([jAud][ljVK3$ײSJI=/|&tl'*n۽f.frܥ jQO8>&Z];.|7T/C}$ڋUmP2Reҭ8hFF\L 3~e v\۫]ݝNmrnB%*]Z«hKc=BTLG :V74$=Ǘy+EX'4tn(I:Ѝ;Df8c,k1%dJ6.j6ź{N~l6&*fœI7 WAlGOu-ҢH,,(ǔe뿋쩨kM܍ZſgRvQ' 9)?n|er˭|I|-fGK.rΛp8XV1%K6mvG+tc+qE&ǸC_Nm:l=_/m5^[dߌڇ.c<%:)tQ$Ow~-aY;UJ>=F)2[nk؆?훐M=l6[4(O.]2#-H^n#->&mp5~Fӛ+|| S,xag%qkEUzUgæBhߕP(7]kFnq?֖CpruZ6*rEڊtS|*tI*E}7R<,nUU֫^I7Q*mSly%rdȓd8hE<9oHhMfNSRj[i7D[Rj݊+kდq{"$$H?p\̅S?㭻;t~R߁)^/>Qj`yt[w ԛ;²~+ߔ_ YW~|o]?x^ᯛ `ʼn;g)T@vWn]>&4lp+$D̢1l|ȨF%-}.9[}w~ ԠLM9hСablfe&QoW!s?wjLK?s7yO>(=C~_nyǜu?v3vyo oI@qV-jeES^[9WoSܝh"l2C1a͔CiJ@3:Pճw=/7ovuk+\V;lDgն<[A+rX~d;m!_s8ݖ׷;;.0llUC+?i#_crʙ1~C.\–q ul8Hܶ2m`ܻM3Tov|Bs rɵ"oLS- DКw=Tv@f'6|YlD͓Y%׵-#Ѯo%:&!3o%\J<02;K87>^vgƓ# ;ݝmz^Y6=PS39U%~ &f# }o!muH;ʲŇ˷yvP+&.7e[3'vR4Yj̗IZ`e˽3o[WU{ m[sUbۋZǾۆl6~9'V*.\S2<Sd*zY[aŶ`]C$n.v^Ʌ dng>ەZ,Mmϑ :n6nϦezWqUJ4! ۇ4R! =>>Fn|Q[{pRO17ƕ~._I''00k=b՛o}Osðc2'o\3}ݭQ^2 . R1yKȣtAݿ-uܾw!`?1Whn|gzUo[ECWwjUIן)^h#1ɭ!/Z np;o;ΗŻkXs."6E`Z1 עӐ9Kl8qd q} 2Stt;#j>;խabONŗ=fwP1j)l6J̶|gV2`y/0E˛6+ԫ1? 6}KW c\KoKͨ2ۅFw–s*TԞLיuDx .kCzWXhy۶gLu|%TnupǺl-S* PRaLnT+c+*xl.v!.U=|; !_L̎뱚U=4hm:ٯ"y)$:>%(n}X'p[ȴ ^˒4kƓmzDx \ 'NqamP7nyN݅=j7%McSڵj%STy qXymvCg{w/w=wSW5r̹u erծˊsOm=DhEҚRb#n)QOxtվQwe]I}wCa'"[ۂ-z}2UuKP$㜉ԧ:mc<Ý>RoL?wu|%ҷ&K y_!y9 ??:tq3(UU-lkS'ɸ@jdzQˬR] EVPW1DJq2n:,c|ǻ̑;y{X,ۂ.u.b˕u.tKBjQ"[S園S`ٮdNبeJ&9Ơ ~0a(Vm٘L+Jr*vڑE( x0+tp˕ n';wm-ޜMOxX>{#2%jgb2M[`K*\5@8l'e=0u+w ֘鳾{y܀:R*Ya]"Ӧ%ktynlۣ65,3gU}{GYrb;ge'TKwǘ.,rpܚV]Tr,!dp /ԺU,xՉ>s׽~W5oTh yx?xrrx?)?ilbT׬,z$Ԏ.UH٠\U1pU:]JwSrGZq8àd驐,N67QYBӢD㏙W!Q25ϸo9ms-7-%3CihO.J鯽-;MZM8ku-7k9S$8]q2E(}bۏI[DKOK}3KUB^u %Y,u.-&f#]'܆o$x`Yu,dzwM;#oKxn;\[d7}Rb+*Y䛂ZuBӱl{j0O̓}LhK;[aֶaGL{Cb#S.T[>߃F]NK"u^LUʐ_ykW?!GRj29͖qa'0[npcDvV)qz9R)PۨM^aJx W] r>];eN3vxdmĘ(5W2K1䪖weF{mE/QP6\u54x5[hۮ-Nk”i[lUgL]J}5 S:EhiUrgHl!ŒJ$pe=q^b͵Q' ?6|R\,JA ڵ"TDꈭ:ymg`B5t%M] <N_zv2_Ortٵ/i/ReӮ*7[qүqEG* m"[I:6e^p"I$jԴęh!m)]GZkcjS!{e^z}+Cѥ9;R|/ֱeiUԏCNu2Zhcٗg$ݭwvr P8*7/Lk~I'Km1+MW%Bk|oOm>-#qj*|Dbѱkn|n{v#jĮqNpMIUm(7Liz;{ҜݞڝVƚVϬ+sO!OstGvxӉ']uӎ4g_ 1^-8ۦ k!)Ύ5O;YSB#2Zzχ;<.ֵOtge~.(RC#wFZeGZٸ6FFJ4e2ˇpJT$[wgV)q6muDGJ56q\I!̗ y/I~RtJ9kJ]Iy*'FN0s.[l!fw'y(7$œ WƫgyΙdMEU JQJv̋vmrۖ.jWR_M֨djYgSj0^\y'EoECjm$ IƩK>Z28J2TiJ2N#}.s cArl嫶nB.FIJ.)۔\ZiM>/hLĸ=C1s[?YMqp|94- 鮝𦔽/k^#NT(Y LS$6˩}{;5 )B۷W$qpN)qqoot}ZDVә;7TiK|6f3h$dԄ}fqݡ>Nb򗉉+ͶO]>ߡ_VtYf79ڰիF sq~prս|QM)g%l0ocJȨHz V;Bb/kLAcfPJ,ԭ{ƍgpjNR6VSI*$!yV足jᇑ.](EܣqM\qJ2eZT).<9UB/(B0j)mtKEj#׿fDI-=rZړj|'Nڤ]k*i$5qt"ݙPM6E4ke^Z8ۏhz$Q(R Ay2zfRñnpnkbkI:=j &ΝșW?׵d{+ύM'??XqeeĽ.[o=UxFS=ӷdZwenՄ]_X=ĭVa* pKs0ބۍfJ3 gz̚i|wnxtjc¼5${(1fXQ65ȼb̶Zkn>%FQMJXӡ{TZEVNᖣimT/37cNJUPnP҂ZOE~"-Rc4^b- FEͧtf5[)S!OZIښݲ͑;tvܡ+N)AR=hCNn;wL16-:特7M$=Tҕ-.R[HٷnXk sn[ҞD-0WS9p9:-Ϸ-jѬNu{ҹfv)[Ľvwfg(ٷfe+0mYj8Q1\ݧg]Eǎvڿc!4#j5̋C2"}BRriFp7=ô\TZ:\BLfj#I22װ<;صZl j 6:l"6]۸ K'6RTѯ^ئOԓV\?$x7s#r:Oh{ց=MmuHԷd{pN /܅:UE#Yy+(SgQ(Щ)RHzw>^Ѿݻ>mK&^ '$Jۻ&w%F|xfz%˳ L~3N?Cy9 v w/{ƿ kz3x> sXv}vP"@WyC z`'톽Dw%-tt yVY\wmuPYQA0iG-2JP,6/gˢ]u.-n!Zw.N7Q]Df}Q0({a\@=i_X7gFǘ8^⻲}G MZ1)WEfO12G+=-B@z\`||w6ċj߬m}UwRox֢I &c~XGP6Qndpvܻul'V7^FJt^{b^B(L~sѣ6@߿^xqU!ڙ5|Vpvef-uӥ^3  FSDɯKD%0r}FF穛r7 +o"V8tv̖NQU!5uFd"bCr^bJ=֤fM#ʳԷP0O-9xRBm\=`r-:;~3Tl(nXtXi%2Vٛ#vwqƴ`L@"H‹qW.j,JM5B[)WܺUeZFqc'V˷1W7V̾-MHФwn8N;HPSdݷC7&2j.W\τGŎ'Vb]c.x+Rx1%C2T{myg[qU|+m:M:շ8҉yWd)ՋWS%%:iqlʹmGwݹ WnNŤѩ5(9hTٵDdGUi-)vSs2 2{OnT$Xck n:¶(lASLeȔBjμPpTb2~N2~%^k[ܗ[Jzs0ӓHBKq[}JَA-$dFQgjxxFv4r/x*Rm% `4J(&iv7SkԲmSH1YWmx 8n.k']:Z˭_W >ڃXЩ. jTq%Aā[E}amc]D:rmHRiu:uӚӢ\p(5-q%e)(۬ҖȽIf<߽pr&ݫVfY91q2ĭEQgYbTGQ&,yL+N$[q*RVۉQ=FuTܻ>f>f㋳8N6$܌n)9&»iˤsX,݅܍ȩv+sRTpO}d?Wn/Inpȸ%O]StQO|v5\}7Zwb.AIVK^:wb{[uݯcytO߶S<{8KSRׁH̏N7ۚ[xkwYy_'ZӵF+>쌛ZUĦreE9F[24De{}@:ExWs-\ǻ7K-\JNvEk%:s˙#κ].oͳ;լ7wB6nwu:$L; DkI#Wz.:Xp(˅v$Sq,wn\qIN-e<5Oe+vuYTpcojUI_ާP8 O 7&VL8z$_B-H-[uh]T{|8=qVRN-:Ij:7PUtXϷmy鉿:RIM~33ӸS2#׳GdŲ5+/Bx{(WzȨ5Y㞎#|˖+ ط.|e<o/rߔX>7s}VE.OVti׽ .5nNJO"95{#q}Ay9do]R"M6z\tnNS-D!@3N_jicWsy*5uٮRcWv/.,j}=S)j5C^> Ie =gu9ӛqjtz]۪TMoߧI!Ǧ¶m:,"[L!{qAv-o 3{"KʼnrIkfٶj2ƙ؄S`7` k6jzޞ?e5G&6uʷ2%ԒRKE*G\Npom F/V |C0.q_eenƣ<5Oh'67ɪn[SĽ{ڔjǘzs;~׌(ۂ`ܢ1ƣ` _l9Va6%UQWh~P~\F^ZHR@:ۧCJ{ôGeBh;~ۧnU J\O+n2 RҠ)ng}Kh{5+S×ܛ.1ZjG)iRȤIN 4%{oΜ/eO[Nffd ĹK?nnԼMqX'܌nZvq<ķbFnͪaQ`5 s,M_լ?-@_{w{ӺձJ}GF[%v\5[ŒGkOw/ΜM9rjË%2+rd~+󲕛C9U۳r[aJǭm|˒LAʨSCq[XMۺoubfp:t+ΤĻo ][ zt-*67kvS7D·MMCQXm;)܎n_h%]4ܙnRk!]ڵsDUF"`R, &#R_*[z*ZqFXɻ]7|۵w+'pFDەs=r./ᐚm3Hשy yD"jHCr':sA65نѮ^o1V/ f;nFr3VM)e*- s D'H݅fӧ\*޷[k<7u<-]֍Q8R h|p=WlW3s%Q %3l}@U-K6f-NϿu|ڴmWN׮[׸F*mW\%r! C78:޳vBG7ŵ.JթԚ2x)ST!řn~9 W:Wpܢ件{xf8ٳwKE ҰWxVB\qBZ 2wMb[lGSnyԚ~z9ZmያvoN2Afnݽjf>)j3 !;gOYʹK" Wftڎ+׭b*2ϻK>ۢӱeyԪXISUm[z+ugX%0lϏnvg!;t{BqPj>PyvR7Cj]O%+ݲ :qiMj6W}3vC/R=4Som]ŗ=ю, TF6U_-\6MyskwMr&Q\wjKܩyMϣUj0*}RZܷSdY3>Zjqj6TgzpA/M`/Cmл,޻feE[/+uk^Vs1W$G(JsW2ٰu*߻q*Y޵.Wi:ur5T),=0uRmho.twܖiYwrWHntvEj8qhf`Ͻpf(R&>Ki%I7$QӖm-2 ~yߗQ-앑/ x[k8nw.c㩵k}]FkbJl:{.(˩n0Hqvαp7 귎.Gupx[N`Yq'+ruU7[ү+>!xrȫoSo]OC# d^Q]\>!ƛGw^Mx"-+%vdX-:M2UR%d>%l ioSu6lsj7D P>XxHz Ukà(n^Q V>5cVtWj SEiJdznyej[lE' 3kuٌNn4JW)gB {4 j6&]' m-(ZMEz8cz>WZ6#7+[,MR-Z!4ܓtCyE|umj1ƽvƷV\;%>Q :#Le(iVz5 4ũۤUWxX ^(ҔsլB2w-V ^R+; ˂M\z+Uwr+RWY⺧~ Q*JcYSNSλUd8in=v K낫k\IRרSUaCFmϿ5̗P|u ZTԕ}>oYѲ1sfP+sQkX8Gb~6r,s>^\,mGL+7[n-E\.Fqḕcl*Jmjb5 ,m]c}NXfeVlǸJ5eˡ$4%g~N p4Y*WwW٧<8v#;qԩTut,m"#Y D\5V`\\Lȋ];LȇiS6ϝZ l>LruR\v=ǘϔDg=ԈdFZ+M{=|,[;0>RiSi4,S5}yxw&(E7&fݙ4UՕ! ~'Id)]ǽu2K-fޭ \08Vڅ쓬=Vy^^ IhyKR-B#Ըr=]mܻӾ'*Umkoy rTqT_i,/8Q^<ݤ|4ԻO(܄"'5N~#m.(Ҿ2i6Uev&I*<}҄$eNtÛzyWJubW^iBW.܅Wڮg]irO6Ve90sgv.+sV޿aޔ[p?3q*FutUo*eL\KM'EG*ZcAFfG5J 5jj=MJ3OK:k˝'NMB7m3uFҕ\-Ywg%PRqMIyZGY9|μvn߻5cWݷa^+X֥vnݘ\v7m>Fgzv"-;Ew֝}1|RjN𿊀7g#֟*GQQ|#/bo]p$>_Un9гUbn9׃ErQBU-^vDmVh'<R[fdHT]*~}3j;nvjc7s-rӳ Y8[n[1pJx kX[Jk9Mn!_Nю6x:iZ˦U |߉^Ԛ݃hYxk &U^bwKk.[jE+P(˞=9j@snCv7%c_7=xǁ<l {t'酚+1F‹l׭:ݻILruǶkL-L(K0L1&>wXB(pm;1fpnlp֓%Skidkt(U +xulo'/ڕeN r=^pZZ:Pnj8Hf"48ijY[ N[yZٻ+=  ø:3 ?^ܷ^Sr#YK[UF?CuhC b]GM')mڏsNrܗI]ljq6VB. W,UK"YX5{c >Iqā> T:n!,5l2VzCl|+I[*SrjnS6٨y+x,@>П.g+!rn9>N|W>OZT_ut Y""v7|sfި;Pclm EùN,{'fNT%U&LfH8~1v>Il}统u6P˗c(WV~H^bMU.o*oOF0N:_:6Smr_.b+|ݶYY غF,mwjv>f*>QM뭱Sd:`N{l/⎱;n-z~"Gze퇎J5S KG9!Gn;N1 ݎ h6m|S?ɂ5'WOÞ 7|7^ao @mxGmi^jϽ>01Mf0լD3-2T. VXR"ɥV Kl J O7|u?bvа;6.eߓ|[1bmRr,eRz`z 6܎-ͨku͹Fː dPhYgZUj}nvX;z=gVեTv_J }\1n7w2J?ޘγc\E 1Aޑzq;\r]]\Y&[nsNei\uURje*Qk2CSl*xJz-xٶlm+|UjUؓ`Ladqiĩ!Gd\W~fz;Tn*PdRM&T4`չSWq5k훶(N"Ӎ% V]֦wb.nUO!u*J&Oӕ2e|Z=eV쫚΅g#+/RW:طnbi*Wyo)p{:ETKؚR(RY+r웓r(IF) VmȵNB:h Q1ғ|u8E]{,'$-TR[j49l*3"I鯴zhd>Q+\BkNF=.$ZR4Nwհ(IpNi.(Gi33#33e$FXK*NdWrud[r{xnk$v2ıh+J1TQ[#JQl[tRO]LHKٮ NӍnF񨔤֞Em'MILB"ԋ%dBŋ+p̿_17jzT~4pc Vo\ƹb9Rq-'1j;8ܗ)hE%DZKS<璸Bu*%*Yw5ڻ9ۣ^z4U; Ñk\U(o~G?VUĎ:?P?_F_Kߤ~ᓾI |pr.Ok\SklRhҪz{­P .}SktZ7UQ4ڌIM8̈eaӊJZ%FFZu,KZvln廐SNFIVtuNi?CM5]+Ph,{jN JSR$IS^tSUVrORYu.9WyP6 [Kiu m!X|]Y79ӄ)\ģ)pbڳr%*&ꑶ_-H*dzk)1 V3')UAϹٶWRxe'պn۫h7AR9 EAJeGLms!%D| A 5]/Q3eb̄vnVn%za\m kZnv([emqrIҕij|""><hjJשvvǕ|Pޟs}V~2&Z?+2N&Z4w@)4iSڪ_>/JN9Hiۏuf8'It[ȲR.hZ$ȋ_Y ~U<UUO*6b)Ovzڜj\R̋.$FsQuҊj^נ䈈y<zZIuP[}Qm=C?zN(Exqu/kn S-FzKZzOסӽjJ\)F3b!r5ٝ|;6 o=-3*λ]αb\abqRi-w޵⦪~b8Kpo)Z=>)ғ"5/GTZLE-輵f7ݘ۹~+&+w/7GFI:l33fg.N~۲\2|*cnermnnM+Fq"ѪIz%j =YW8@~gc/~?N'?)«qȸs➟n=k" X“m֮VreMh2[uݖ] *FܖN)MȐ`f0 g,C9̑o;ddudJ=In13:ݒvvdMUEJLp^,6t-@͐9'{7m{-3,>hnF;ѰM)->>+Ěz!R* :`e--m7nB\u{b U>[8֪]6^ߤLʦ\DFNo$$dͶlgno8OrsQ\l̯hRo8tuNo+ CTxu!2[>ctFpeޓƻֶR"3QrQuOѳgwQr;S~)6HhZw/GgVTmUf_yt7%$];zLWF̰xy2Ʉu!MCmš_0[W6jf#a-KLi+3Q7c^qg%s<1aYIQeZf+}>;S6L0]Yu_h9߻<ƅpmiM$AVvŚ,*#t2.8Y)-Zhshü97/#Oro"u^/uFgWɺ,p:6a,^x%$Yve^3PƗMnTP&yS}OJ '덫MH^:rXԴJۋ/rI;S*,+yz1hv)Qw^ڍJ2oL׊q(\fDj:^T%vOadɂnS}ZO)N*λdaȜkG_PIEO}нa(^iQX᯦-7^)%g'SJx(.S9zVɴZ{E ))ۅi/s7 VIV-|sj0*UBTHIqRf>FP$KqN0 R̻8j\GcC}IUz\i 6F)Q{Gҧ3qSzKj-Az VЛS-zy:8*mNk|D鿓ND2u+0Yŝ7kqm·?8Ib]u>˗^_>(]vӋzv+ݩ){vZrJ2RQ몋C$z [,pp,8mڊbR]Il .f~d/ݓs㓓mͶ{mgjQwn=Oic9ܚm4Q/6ݨ[TƧ?nԶoytf{@AzT{e{[O'ZRZt~AGD?s3􌿂ՉIw'|~U\ w~di:Kޱ)U/sU%njѩ&GSP^ǝd)..!^U` 1wX[aԇSxoFV6_扐)T 2Mfd=ۖͭiZ7KK Bi9%7@<3<ճԻU,},a}FRqɛr i@ONJvK KLN M, ʖv0n-]DwlI-X6ܶ$Jʴh5O+mOI+Ra瞠\ MG7BفjYo1#͖0V`Ѱ2M?c8>-Crt*JkIGS:e#hPKx[鱼>{5m;wcն&>j-M֥^َ) 6yȜl_w{-ō̱r> U=]iw3)r*]:K]6BdCTZ|>gf}LW}[$'Y5 &c -j.z6R 67MԷFMnÌwI7w5E}o޽+K ֵy4܌ȥW"COyR[q5Ӱ͙f[v"_#q{MV6܍3"u9BK(41ӯqˇc${ߝCi6I(OmθzҜ5k^:>Jzw.>qV8{vU[ڶEm|DžBz].KHjI]x;Mɗ{m,qZXr忇2u^RO2Z}ZێS[2Jen!*NDcrBUً4<ǼMҲs1Zw57c3&ĖڻzmP*FuJG1-dN:|OU}ҵgi2t~F^^Z.VxjvŧnNNh<:]^~NN+ge^g.SԔGFe߯'[vn'(ScJ]kܗ7eJOlRrfziݮq̋S"\*U<*W]k$FջV}? 7g#֟*GQQ|#/bo]p$>_Un9;l S VvQU%OLU{οmU6bZ1MTx%!֙Q7, J=!3 ;Q,ڌ;6ͱ݅q^&ߔ·n #WbwӖX.HtG)N&d̵zpI,n cu ޖUj+VXUp[w]N o.J6Z8Ts&utxln;~HPHS/xw`G\ʡ¿rj Z^vt"[L:SD\h0sUwR,}[x^X,R2Vn< ]2YDr[SRKs8tXb̷G?Ps Tv 3be,zVz D[/I.KOEQrm'$7|[J>r S`5յwT#\w1FTz\Ԛ &"ׅhSHrD\'r]~/>p;:Piuu:"9ő=tTaS7V2rӷk7mb[^WmPp*[y.Þ6f]cizJCgRR@UVl큝.WJP1N{/\whZ ػϧӱE7|E֫Sί.x-Y&pi%v''-x6r'Ws*6=DwwUu]=C?MK [yrtܒG$!WGqJ*%SAz ED[^)/tė/g=#Omd.|^n/sl׉g DZqemqowݮRzUܜ=ڽ-o/Iۖ;qVʘgPp|mm;6zGl9.8pwWgsJ2qPbe}}UpNjٯ}7TMQKrؽtEx%v w߾8%|j;~|}pK]ơ/ w߾8%|j;~|}pK]ơ/ w&~e_H 8PL7:%ʭ5Kw&U2vwR_+rm'}C7#rWoO&HoG?M$UR7{FU]u ;# !Wk`|W>׹潇9Vn)6)*ҹ{%qV4q>W1vi#T"Qk&GwxcJBJ- Ϸ^ˁxkU}ԣ/3.;]J=<*)cS)ROK9H=,r zX @)cS)Da^ԽQ gxJI=w֣gf*TRj

Correspondence to Yong-Keun Lee, DDS, PhD. Director, Institute for Clinical Performance of Biomaterials (ICPB) and ETN Dental Clinic, 106-B101, 27 Heukseokhangang-ro, Dongjakgu, Seoul, Korea 06981. TEL, +82-2-816-1616; FAX, + 82-2-816-0606; ykleedm@gmail.com
• Received: February 23, 2016   • Accepted: May 15, 2016

©Copyrights 2016. The Korean Academy of Conservative Dentistry.

This is an Open Access article distributed under the terms of the Creative Commons Attribution Non-Commercial License (http://creativecommons.org/licenses/by-nc/3.0/) which permits unrestricted non-commercial use, distribution, and reproduction in any medium, provided the original work is properly cited.

  • 1,909 Views
  • 16 Download
  • 50 Crossref
prev next
  • The purpose of this review was to suggest practical criteria for the clinical translucency evaluation of direct esthetic restorative materials, and to review the translucency with these criteria. For the evaluation of reported translucency values, measuring instrument and method, specimen thickness, background color, and illumination should be scrutinized. Translucency parameter (TP) of 15 to 19 could be regarded as the translucency of 1 mm thick human enamel. Visual perceptibility threshold for translucency difference in contrast ratio (ΔCR) of 0.07 could be transformed into ΔTP value of 2. Translucency differences between direct and indirect resin composites were perceivable (ΔTP > 2). Universal and corresponding flowable resin composites did not show perceivable translucency differences in most products. Translucency differed significantly by the product within each shade group, and by the shade group within each product. Translucency of human enamel and perceptibility threshold for translucency difference may be used as criteria for the clinical evaluation of translucency of esthetic restorative materials.
Translucency in esthetic restorative materials induces the depth of color in restorations, and also influences the color harmonization with surrounding or adjacent teeth/restorations.1,2,3 Optical performance of restorations may be compromised by poor shade blending of opaque restorative materials at the tooth interface.4 For the measurements of optical properties, the Commission Internationale de I'Eclairage (CIE) color coordinates and the CIE standard illuminants are generally used.5 For the determination of translucency, two indices such as translucency parameter (TP) and contrast ratio (CR) have been widely used.6,7 TP is obtained by calculating the color difference of a specimen over two backgrounds: TP = [(LW* - LB*)2 + (aW* - aB*)2+ (bW* - bB*)2]1/2, where subscript W refers to the color coordinates over an ideal white background and subscript B refers to those over an ideal black background.6 CR is calculated from the spectral reflectance (Y) of the specimens over black (Yb) and white (Yw) backgrounds to give Yb/Yw.7 Mean CR is calculated as the averaged CR values at each wavelength (10 nm intervals) in the range of 400 to 700 nm.8,9 Since it has been confirmed that TP and CR values are highly correlated,8,9 they might be used interchangeably.
Care must be taken when comparing the translucency values based on different studies because technical details for measurements must be matched, or adjustments must be made.10 Therefore, for the evaluation of translucency based on reported values, the followings should be checked thoroughly: (1) Measuring instrument and method should be specified because both of them influence the values.9 Reflection spectrophotometer with an integrating sphere could be regarded as a reference instrument; (2) Thickness of specimen influences the translucency values.9,11 Regression equations that can reflect the influence of the thickness on the translucency values might be established.9 However, these equations would be influenced by the measurement methods; (3) Optical properties of backgrounds used for translucency measurement should be specified.12 As reference values for ideal backgrounds, the CIE color coordinates of background were reported as CIE L* = 94.3, a* = -0.4, and b* = 1.4 for the white background, CIE L* = 0.2, a* = 0.4, and b* = -0.6 for the black background and CIE L* = 0.0, a* = 0.0, and b* = 0.0 for a zero calibration box in a previous study.12 The translucency values may also be modified which would reflect the color difference of the two backgrounds such as TPcomparative = color difference of a specimen over white and black backgrounds/color difference of white and black backgrounds themselves; (4) Illuminating conditions influence the translucency values.13,14 Generally used illuminant such as the CIE illuminant D65 could be regarded as a reference illuminant.
In a previous review on the translucency of dental substances,3 the following subjects such as translucency of teeth, clinical relevance of translucency, measuring methods, and the control of translucency in esthetic materials were reviewed. The purpose of the present review was to suggest criteria for the clinical translucency evaluation, and to review the translucency of direct esthetic restorative materials based on translucency of human enamel and the visual perceptibility threshold for the translucency difference. For this, PubMed search up to 2015 was carried out for papers on the translucency of direct esthetic restorative materials published in English. Additional articles were searched by hand-searching based on the references of the included papers. Search results from other major databases were overlapping to those from PubMed and hand-searching. As to the statistical significance of the results in the present article, it was regarded as significant if the p value was lower than 0.05.
Criteria for translucency evaluation
The criteria for the clinical evaluation of translucency were established from two aspects: (1) whether the values are similar to those of human enamel, or (2) whether the differences between the compared materials are perceivable by the naked eyes.

1. Translucency of human teeth

Translucency of human teeth should be the reference in the translucency assessment of esthetic restorative materials.3 As to the translucency of intact teeth, translucency differences in human maxillary central incisors by anatomic locations were analyzed, and was reported that the transmission ranged from 0.13 to 0.65%, which decreased from incisal to cervical area.15 Translucency of human central incisors was measured using a spectroradiometer,16 and the color difference over white and black cloths behind the intraoral teeth was reported as TP. As results, translucency decreased from the incisal to cervical, where TP of incisal site was approximately 15, which decreased to around 5 at cervical site. However, these values were based on whole teeth, whereas restorations are usually built up by layering technique.
As to the translucency of separated enamel and dentin, it was reported that the light transmission of human enamel increased as the incident light wavelength increased.17 Translucency of human and bovine enamel/dentin was determined by use of TP and CR.9 In this study, two spectrophotometers with different aperture sizes of 3 mm round (TP3) and 3 × 8 mm rectangular aperture (TP38) were used. As results, mean TP3 values of 1 mm thick bovine enamel, bovine dentin, human enamel and human dentin were 14.7, 15.2, 18.7, and 16.4, respectively. It was also confirmed that the translucency of enamel and dentin increased in proportion to wavelength in the visible range (correlation coefficient: r = 0.87 - 0.91).9
In addition to the translucency value itself, optical anisotropy of teeth should be another consideration. Translucency of an object is estimated in a consistent way across different shapes and lighting conditions to some extent (translucency constancy). However, humans also show significant failures of translucency constancy across changes in lighting direction.18 Transmitted light intensities in the direction perpendicular or parallel to the approximal surface of tooth were compared to account for a directional dependence of light fluxes.19 The results indicated that the mean ratio of the transmitted intensities in perpendicular and parallel direction was 0.86 for enamel and 2.88 for dentin.
TP of 1516 to 199 might be regarded as the value of 1 mm thick human enamel, which could be suggested as the first criterion for translucency evaluation.

2. Visual perceptibility threshold of translucency

Relationship between a translucency index (CR) and the subjective visual assessment of differences in the translucency of dental porcelains with different opacities was determined.20 Translucency range of group A (CR = 0.20 to 0.40) was equivalent to that of enamel porcelain, whereas group B (CR = 0.60 to 0.80) represented dentin porcelain translucency based on 1 mm thick specimens. Each observer's ability to distinguish between specimens of different translucencies was determined by calculating the mean perceivable minimal difference in CR (ΔCR), which was named as 'translucency perception threshold (TPT)'. As results, when pooling the data for two light conditions (transmitted and reflected lights) and two porcelain types, mean ΔCR of three observer groups was 0.09 for students, 0.08 for residents, and 0.04 for faculty. The overall mean TPT of all observers was 0.07. In high translucent group (CR = 0.20 to 0.40), mean TPT was lower than that of low translucent group (CR = 0.60 to 0.80) under both lights. Therefore, translucency difference in CR (ΔCR) of 0.07 was regarded as the perceivable limit, which could be suggested as the second criterion of the present review. Since this value was determined based on CR,20 the need for an establishment of correlation between the translucency indices was raised for the application of this value to another index (TP).

3. Correlation between translucency indices

Since translucency values varied by the measurement protocols, correlations among them should be confirmed. Correlations among the translucency values based on different measurement methods were reviewed in this section.
TP and light transmittance (%T) were positively correlated (r = 0.63) based on 1 mm thick resin composites.21 CR increased in inverse proportion to TP (r = -0.93) based on resin composites and an all-ceramic material with the thickness of 0.8, 1.3, and 1.8 mm.22 Based on varied shades and brands of resin composites, the correlation between TP and CR was determined based on 1 mm thick specimens.8 As results, a regression equation 'TP = -28.2 × (mean CR value) + 32.8' was obtained (r = -0.84). Applying this equation, threshold ΔCR value for TPT of 0.0720 could be transformed into ΔTP value of 2 when TP values were around those of human enamel (TP = 15 to 19).
TP and CR of human and bovine enamel/dentin were determined.9 Mean CR values of human and bovine enamel/dentin were negatively correlated with TP (r = -0.93 to -0.78) based on a spectrophotometric readings with 3 mm round aperture (TP3). Regression equations between TP3 and mean CR of human enamel and dentin were TP3 = -36.3 × (mean CR) + 38.9 (coefficient of determination: r2 = 0.83) and TP3 = -22.9 × (mean CR) + 29.2 (r2 = 0.62), respectively.
Based on TP values of human and bovine enamel/dentin,9 correlations in these values by the measurement methods were also reported. Two spectrophotometers with different aperture sizes of 3 mm round aperture (TP3) or 3 × 8 mm rectangular aperture (TP38) were used. The results showed significant correlations between TP values measured with two apertures. Mean TP3/TP38 values of 1 mm thick bovine enamel, bovine dentin, and human dentin were 14.7/18.3, 15.2/21.1, and16.4/21.7, respectively (r = 0.87 - 0.98). Regression equation between TP values of human dentin were TP38 = 1.0 × TP3 + 5.1 (r2 = 0.77). As to the influence of thickness, ranges of thickness in bovine enamel, bovine dentin, human enamel, and human dentin specimens were 0.9 - 1.3, 1.0 - 2.0, 0.9 - 1.6, and 0.7 - 1.6 mm, respectively. TP values increased in inverse proportion to the thickness (r = 0.80 - 0.90). Regression equations between TP of human enamel/dentin and the thickness (mm) of specimens were TP3 = -12.7 × thickness + 31.4 (r2 = 0.64) and TP3 = -9.3 × thickness + 25.7 (r2 = 0.71), respectively.
Range of translucency in direct esthetic materials

1. Translucency variations by type or shade of resin composites

There have been studies that compared the translucency of resin composites. Comparisons were made by (1) the type of resin composites, (2) shade groups such as dentin, enamel, translucent, incisal and opaque shades, and/or (3) brand of composites. Translucency of resin composites was also compared with other kinds of direct esthetic materials.

1) Difference by type of resin composites

Translucency differences between direct/indirect, universal/flowable, or other types of resin composites were determined. As to the translucency differences between direct and indirect resin composites, translucency of indirect (BelleGlass NG, BG, Kerr, Orange, CA, USA) and direct (Estelite Sigma, ES, Tokuyama, Tokyo, Japan) resin composites, each composed of three shade groups, was compared based on 1 mm thick specimens.23 As results, mean TP after curing were in the range of 10.0 (BG-opaceous dentin shade) to 21.5 (BG-enamel shade) (Figure 1). BG material showed a wider range of TP values than ES. Therefore, translucency variations should be considered when an indirect resin composite restoration is repaired with direct composites. Since the differences in TP by the material and shade group combination were higher than 2, the differences were perceivable.
Translucency of flowable resin composites was compared with the corresponding shade universal composites of the same brand based on 2 mm thick specimens.24 As results, flowable composites revealed higher TP values in three of four brands (Table 1), and color difference between flowable and the corresponding universal resin composites was influenced by their translucency difference. Therefore, translucency differences between two types of composites should be reconsidered when two composites are used at the same. However, the differences in TP were not perceivable in three brands (ΔTP < 2).
TP values of flowable bulk-filling resin composites at various thicknesses (1 to 6 mm) were evaluated.11,25 This type of composites can be filled in bulk up to 4 mm, which is used basically for primary teeth. Bulk-filling composites and conventional flowable/universal composites were investigated. As results, TP values were significantly correlated with the thickness of specimens. In bulk-filling composites, translucency was observed for thicknesses up to 5 to 6 mm, whereas it was observed up to 2 to 3 mm in flowable/universal composites. Therefore, bulk-filling composites showed less masking ability than the conventional composites. Translucency of composite framework materials was also determined.26 As results, glass-fiber-reinforced framework materials were nearly as translucent as the veneering dentin composite. However, these materials affected the color of the prosthesis if the thickness of the framework material was increased beyond a certain point (0.5 mm).

2) Difference by shade group

As to the translucency difference by the shade group and/or brand, translucency of seven brands of resin composites with three shade groups (dentin, enamel, and translucent) were compared based on TP and light transmittance (%T).21 As results, TP differed significantly by the brand within each shade group, and by the shade group within each brand. The results also showed strong correlation in translucency within each brand of resin composites except one brand (r = 0.76 - 0.99), and moderate correlation within each shade group (r = 0.40 - 0.53).
TP of resin composites at various thicknesses (0.5, 1, 2, 3, and 4 mm) was evaluated by the shade group of enamel, opaque, and body shades.27 In this study, black (CIE L* = 29.4, a* = -0.9, and b* = 0.1) and white (L* = 93.6, a* = -2.0, and b* = 3.5) backgrounds were used. The results indicated that the opaque shades were less translucent than the other shades, and that translucency increased exponentially as thickness was reduced regardless of the shade group. TP values of 1 mm thick specimens were 6.1 to 12.3 in one brand, and 7.4 to 13.1 in the other brand. TP values of 1 mm thick specimens were lower than those of human enamel (TP = 15 to 19) probably because the backgrounds used were not ideal black or white color.
TP and masking efficiency of opaque shade resin composites were determined.28 As results, opaque shade composites were less translucent than usual shade composites. Therefore, opaque shade composites might effectively mask the dark background color. Translucency of opaque shade (OA2) and conventional shade (A2) resin composites were evaluated based on 2 mm thick specimens.29 As results, TP values of OA2 were smaller than those of A2 for all the products investigated. TP values were 3.6 to 5.1 in A2 shade and 1.7 to 4.9 in OA2 shade, and the difference by the brand was significant. Adequate thickness range of opaque shade resin composites for masking the black oral cavity and discolored tooth structure was determined within the thickness range of 0.5 to 4 mm by 0.5 mm interval.30 Six opaque shade resin composites were investigated, and four backgrounds such as white tile, black tile, Vita C4 shade porcelain and opaque resin itself were used to determine TP, and to mimic a black oral cavity and a discolored tooth structure. As results, TP decreased in similar pattern as thickness increased. C4 background was masked with opaque resin thicknesses of 0.5 to 1 mm, while the black background required thicknesses of 1 to 2 mm.

2. Sorting of translucency in resin composites

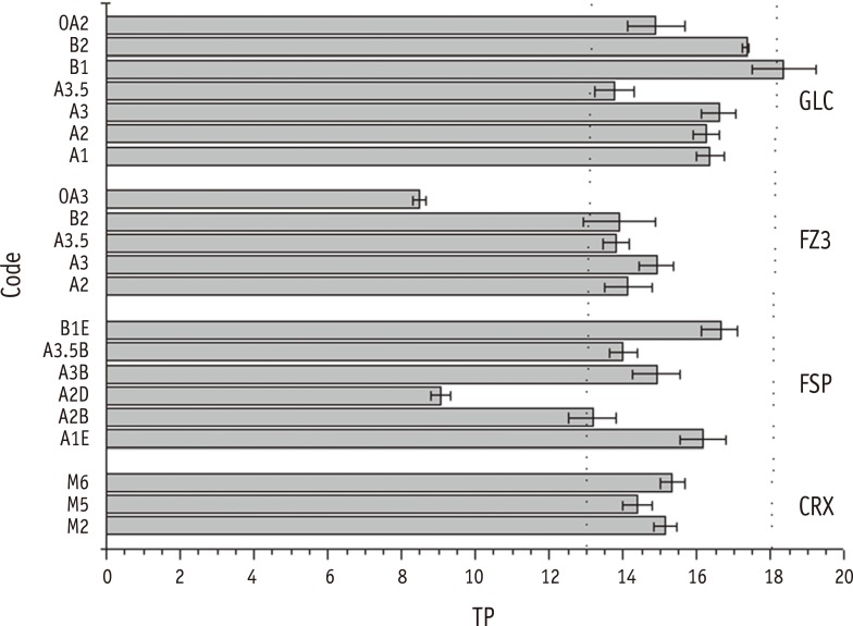
A wide range of translucency values indicates the need for establishment of reference points in sorting these values.31 TP of eight brands of resin composites (total 41 shades) were sorted based on 1 mm thick specimens (Figure 2 and Table 2).8 Since TP varied from 8.5 to 20.6, they were arbitrary divided into three groups at the TP values of 13 and 18 (Figure 2). Since the difference in TP between two reference values was 5, translucency difference between resin composites belonging to different groups was perceivable (ΔTP > 2). In this previous study published in 2008,8 no definitive clinical implication could be stated since there were no established criteria on the proper or acceptable translucency for esthetic restorative materials at that time. Instead, tentative sorting was made by dividing the TP values into three groups. According to TP value distribution of the study and because most of the investigated composites showed TP values within 13.0 to 18.0, translucency values were sorted into low, medium, and high groups. However, it should be remembered that the sorting was arbitrary for convenience.
Dividing translucency of resin composites into three equal segments was another solution.31 Therefore, TP of microhybrid (MH) and microfill (MF) resin composites were divided into three equal parts representing low, medium, and high translucency based on 2 mm thick specimens. As results, 15 shades of MH and 6 shades of MF were found to be of low translucency (TP = 0.9 - 2.0), 5 shades of MH and 1 shade of MF were of medium translucency (TP = 2.1 - 3.1), and 6 shades of MH and no MF shades were highly translucent (TP = 3.2 - 4.3). Since the color of black (CIE L* = 24.5, a* = -0.01, and b* = -0.4) and white (L* = 66.3, a* = -1.3, and b* = -4.0) backgrounds used in this study was far from ideal, TP values were relatively low.
Modifying these two papers,8,31 translucency of resin composites might be sorted into several groups considering the perceivable threshold and the translucency of human enamel. Further studies including direct and indirect esthetic restorative materials should be performed.

3. Glass ionomer based materials

As to the translucency of glass ionomer based materials, opacity of glass ionomers were compared with that of resin composites.32 In 1983, newer glass ionomers were found to be more translucent than the first generation of glass ionomers. However, the opacity still needed to be reduced to reach the level of resin composite. With resin modified glass ionomers,33 translucency values varied according to whether the material had been subjected to light curing or cured through the acid-base reaction alone. As results, light cured specimens were found to be only marginally more translucent than those allowed to set without irradiation. Changes in the translucency of experimental 10 to 50% 2-hydroxyethyl methacrylate (HEMA)-added glass ionomers after 5,000 cycles of thermocycling were determined.34 As results, changes in TP were in the range of -3.5 to 0.2, and were influenced by the HEMA content and powder shade.
The criteria for the clinical evaluation of translucency were established from two aspects: (1) whether the values are similar to those of human enamel, and (2) whether the differences between the compared pairs are perceivable by the naked eyes. TP from 15 to 19 could be regarded as the value of 1 mm thick human enamel. Translucency difference in contrast ratio (ΔCR) of 0.07 was regarded as the perceivable limit, which could be transformed into ΔTP value of 2.
Comparisons of translucency were made by the type of resin composites such as direct/indirect or universal/flowable composites, and by the shade groups such as dentin, enamel, translucent, incisal and opaque shades. As to the difference between direct and indirect composites, the differences in TP values by the material and shade group were higher than 2. As to the difference between universal and flowable composites of the same brand and shade, the differences in TP values were lower than 2 in most brands. As to the difference by the shade group, TP value differed significantly by the brand within each shade group, and by the shade group within each brand. A wide range of TP values indicated the need for establishment of reference values for the interpretation of the values. Therefore, translucency of resin composites was categorized at the TP value of 13 and 18 as low, medium, and high translucency (1 mm thick), or divided into three equal segments.
The criteria proposed in the present article and the results of translucency evaluations could be used as guidelines for the clinical evaluation of translucency in direct esthetic restorative materials.

Conflict of Interest: No potential conflict of interest relevant to this article was reported.

  • 1. Lee YK, Yu B, Lee SH, Cho MS, Lee CY, Lim HN. Shade compatibility of esthetic restorative materials-a review. Dent Mater 2010;26:1119-1126.ArticlePubMed
  • 2. Lee YK, Yu B, Zhao GF, Lim JI. Color assimilation of resin composites with adjacent color according to the distance. J Esthet Restor Dent 2015;27(Supplement 1):S24-S32.ArticlePubMedPDF
  • 3. Lee YK. Translucency of human teeth and dental restorative materials and its clinical relevance. J Biomed Opt 2015;20:045002.ArticlePubMed
  • 4. Mourouzis P, Koulaouzidou EA, Palaghias G, Helvatjoglu-Antoniades M. Color match of resin composites to intact tooth structure. J Appl Biomater Funct Mater 2015;13:e259-e265.ArticlePubMedPDF
  • 5. CIE (Commission Internationale de l'Eclairage). Colorimetry - technical report, CIE Pub. No. 15. 3rd ed. Vienna: Bureau Central de la CIE; 2004.
  • 6. Johnston WM, Ma T, Kienle BH. Translucency parameter of colorants for maxillofacial prostheses. Int J Prosthodont 1995;8:79-86.PubMed
  • 7. Miyagawa Y, Powers JM, O'Brien WJ. Optical properties of direct restorative materials. J Dent Res 1981;60:890-894.ArticlePubMedPDF
  • 8. Yu B, Lee YK. Translucency of varied brand and shade of resin composites. Am J Dent 2008;21:229-232.PubMed
  • 9. Yu B, Ahn JS, Lee YK. Measurement of translucency of tooth enamel and dentin. Acta Odontol Scand 2009;67:57-64.ArticlePubMed
  • 10. Johnston WM. Review of translucency determinations and applications to dental materials. J Esthet Restor Dent 2014;26:217-223.ArticlePubMedPDF
  • 11. Lassila LV, Nagas E, Vallittu PK, Garoushi S. Translucency of flowable bulk-filling composites of various thicknesses. Chin J Dent Res 2012;15:31-35.PubMed
  • 12. Lee YK, Lu H, Powers JM. Optical properties of four esthetic restorative materials after accelerated aging. Am J Dent 2006;19:155-158.PubMed
  • 13. Lee YK. Changes in the translucency of porcelain and repairing resin composite by the illumination. Dent Mater 2007;23:492-497.ArticlePubMed
  • 14. Ahn JS, Lee YK. Difference in the translucency of all-ceramics by the illuminant. Dent Mater 2008;24:1539-1544.ArticlePubMed
  • 15. Xiong F, Chao Y, Zhu Z. Translucency of newly extracted maxillary central incisors at nine locations. J Prosthet Dent 2008;100:11-17.ArticlePubMed
  • 16. Hasegawa A, Ikeda I, Kawaguchi S. Color and translucency of in vivo natural central incisors. J Prosthet Dent 2000;83:418-423.ArticlePubMed
  • 17. Brodbelt RH, O'Brien WJ, Fan PL, Frazer-Dib JG, Yu R. Translucency of human dental enamel. J Dent Res 1981;60:1749-1753.ArticlePubMedPDF
  • 18. Xiao B, Walter B, Gkioulekas I, Zickler T, Adelson E, Bala K. Looking against the light: how perception of translucency depends on lighting direction. J Vis 2014;14:17.Article
  • 19. Vaarkamp J, ten Bosch JJ, Verdonschot EH. Propagation of light through human dental enamel and dentine. Caries Res 1995;29:8-13.ArticlePubMed
  • 20. Liu MC, Aquilino SA, Lund PS, Vargas MA, Diaz-Arnold AM, Gratton DG, Qian F. Human perception of dental porcelain translucency correlated to spectrophotometric measurements. J Prosthodont 2010;19:187-193.ArticlePubMed
  • 21. Kim DH, Park SH. Evaluation of resin composite translucency by two different methods. Oper Dent 2013;38:E1-E15.ArticlePDF
  • 22. Lee SH, Lee YK, Lim BS. Influence of thermocycling on the optical properties of laboratory resin composites and an all-ceramic material. J Mater Sci Mater Med 2004;15:1221-1226.ArticlePubMedPDF
  • 23. Woo ST, Yu B, Ahn JS, Lee YK. Comparison of translucency between indirect and direct resin composites. J Dent 2008;36:637-642.ArticlePubMed
  • 24. Yu B, Lee YK. Differences in color, translucency and fluorescence between flowable and universal resin composites. J Dent 2008;36:840-846.ArticlePubMed
  • 25. Kim EH, Jung KH, Son SA, Hur B, Kwon YH, Park JK. Effect of resin thickness on the microhardness and optical properties of bulk-fill resin composites. Restor Dent Endod 2015;40:128-135.ArticlePubMedPMC
  • 26. Nakamura T, Tanaka H, Kawamura Y, Wakabayashi K. Translucency of glass-fibre-reinforced composite materials. J Oral Rehabil 2004;31:817-821.ArticlePubMed
  • 27. Kamishima N, Ikeda T, Sano H. Color and translucency of resin composites for layering techniques. Dent Mater J 2005;24:428-432.ArticlePubMed
  • 28. Ikeda T, Murata Y, Sano H. Translucency of opaque-shade resin composites. Am J Dent 2004;17:127-130.PubMed
  • 29. Ikeda T, Sidhu SK, Omata Y, Fujita M, Sano H. Colour and translucency of opaque-shades and body-shades of resin composites. Eur J Oral Sci 2005;113:170-173.ArticlePubMed
  • 30. Kim SJ, Son HH, Cho BH, Lee IB, Um CM. Translucency and masking ability of various opaque-shade composite resins. J Dent 2009;37:102-107.ArticlePubMed
  • 31. Paravina RD, Ontiveros JC, Powers JM. Accelerated aging effects on color and translucency of bleaching-shade composites. J Esthet Restor Dent 2004;16:117-126.ArticlePubMed
  • 32. Asmussen E. Opacity of glass-ionomer cements. Acta Odontol Scand 1983;41:155-157.ArticlePubMed
  • 33. Mount GJ, Patel C, Makinson OF. Resin modified glass-ionomers: strength, cure depth and translucency. Aust Dent J 2002;47:339-343.ArticlePubMed
  • 34. Lee YK, Yu B, Zhao GF, Lim JI. Effects of aging and HEMA content on the translucency, fluorescence, and opalescence properties of experimental HEMA-added glass ionomers. Dent Mater J 2010;29:9-14.ArticlePubMed
Figure 1

Mean TP values of each shade group of indirect (BG) and direct resin composites (ES). This figure was cited from the reference 23.

TP, translucency parameter; BG, BelleGlass NG, (Kerr, Orange, CA, USA); ES, Estelite Sigma (Tokuyama, Tokyo, Japan); EN, enamel; OD, opacious dentin; TL, translucent layer; BS, basic; AS, additional; OP, opaque; BEC, before curing; CIC, curing in the curing chamber; CWL, curing with curing light.
rde-41-159-g001.jpg
Figure 2

Categorization of TP values of resin composites. This figure was cited from the reference 8.

TP, translucency parameter; GLC, Glacier (SDI Limited, Victoria, Autsria); FZ3, Filtek Z350 (3M ESPE, St. Paul, MN, USA); FSP, Filtek Supreme (3M ESPE); CRX, Ceram X mono (Dentsply DeTrey GmbH, Konstanz, Germany).
rde-41-159-g002.jpg
Table 1

TP values of flowable and universal resin composites

Brand Flowable Universal
ES 12.7 ± 0.5 11.2 ± 0.7
FZ 11.0 ± 0.3 11.2 ± 0.5
GC 10.1 ± 0.2 9.5 ± 0.4
TE 15.7 ± 1.1 12.3 ± 0.7

This table was cited from the reference 24.

ES, Estelite Flow Quick, Estelite Sigma (Tokuyama, Tokyo, Japan); FZ, Filtek Z350 flowable, Filtek Z350 Universal (3M ESPE, St. Paul, MN, USA); GC, Unifil Flow, Gradia Direct (GC, Tokyo, Japan); TE, Tetric Flow, Tetric Ceram (Ivoclar Vivadent AG., Schaan, Liechtenstein).

Table 2

TP values of resin composites

Material Shade TP
GRD A2 15.0 ± 0.5
A3 16.6 ± 0.4
A3.5 16.3 ± 0.6
CV 13.3 ± 0.7
PA2 14.3 ± 0.3
PA3 14.7 ± 0.9
PA3.5 15.1 ± 0.5
GRO A1 16.4 ± 0.4
A2 17.1 ± 0.7
A3 17.9 ± 0.8
A3.5 16.5 ± 0.2
B2 17.9 ± 0.7
PO4 A1 18.9 ± 0.3a
A3 14.0 ± 0.4
A3.5 17.4 ± 1.6
PRM A2 14.7 ± 1.0
A3 14.1 ± 0.4
A3.5 14.5 ± 1.4
B2 13.7 ± 0.6
clear 20.6 ± 1.0a

This table was cited from the reference 8.

GRD, Gradia Direct (GC, Tokyo, Japan); GRO, Gradio (VOCO, Cuxhaven, Germany); PO4, Point 4 (Kerr, Orange, CA, USA); PRM, Premise (Kerr).

aHigh translucent material.

Tables & Figures

REFERENCES

    Citations

    Citations to this article as recorded by  
    • Bio-inspired nacre-like glass flake/polymer composites with antibacterial function and translucent appearance
      Huijun Sun, Aukrit Luangpattarawong, Parinaz Tabrizian, Aqsa Qambrani, Tan Sui, Angela H. Nobbs, Tony Ireland, Bo Su
      Journal of Dentistry.2026; 166: 106327.     CrossRef
    • Comprehensive characterization of tobacco-induced changes in enamel surface topography
      Tamanna Kaur, Ramya Ramadoss, Nitya Krishnasamy, Sandhya Sundar, Suganya Panneer Selvam, Hema Shree K
      Journal of Oral Biology and Craniofacial Research.2025; 15(1): 97.     CrossRef
    • Impact of Artificial Aging on the Optical Properties of High-translucent Zirconia and Lithium Disilicate: An In Vitro Analysis
      Ahmed N Abdelaziz, Shereen A Amin, Mahmoud A Aboulhawa
      International Journal of Prosthodontics and Restorative Dentistry.2025; 15(1): 3.     CrossRef
    • Color and Translucency Compatibility Among Various Resin-Based Composites and Layering Strategies
      Elena Bianca Varvara, Cristina Gasparik, Javier Ruiz-López, Alexandra Iulia Aghiorghiesei, Bogdan Culic, Diana Dudea
      Dentistry Journal.2025; 13(4): 173.     CrossRef
    • Influence of Acidic Storage and Simulated Toothbrushing on the Translucency and Color Stability of 3D-Printed Resins for Prosthodontic Applications
      Sarah M. Alnafaiy, Nawaf Labban, Alhanoof Saleh Aldegheishem, Saleh Alhijji, Refal Saad Albaijan, Saad Saleh AlResayes, Rafa Abdulrahman Alsultan, Abeer Mohammed Alrossais, Rahaf Farhan Alanazi
      Materials.2025; 18(17): 3942.     CrossRef
    • Color Stability Assessment of Single- and Multi-Shade Composites Following Immersion in Staining Food Substances
      Vittorio Checchi, Eleonora Forabosco, Giulia Della Casa, Shaniko Kaleci, Luca Giannetti, Luigi Generali, Pierantonio Bellini
      Dentistry Journal.2024; 12(9): 285.     CrossRef
    • Effects of multiple firings on the translucency, crystalline phase, and mechanical strength of highly translucent zirconia
      Haruko KATADA, Masanao INOKOSHI, Singo KAMIJO, Hengyi LIU, Kaiqi XU, Masakazu KAWASHITA, Taishi YOKOI, Masaya SHIMABUKURO, Shunsuke MINAKUCHI
      Dental Materials Journal.2024; 43(2): 294.     CrossRef
    • Effect of Repolishing on Color Stability, Translucency, and Surface Roughness of Aged Monochromatic Dental Composites
      Mohamed M. Abdul-Monem, Mohamed A. Hussein, Mona G. Abdelrehim
      European Journal of General Dentistry.2024; 13(03): 240.     CrossRef
    • The optical property measuring methods for resin composite using multiple spectrophotometers
      Ji-Hun YOUM, Il Jun JEONG, Jae-Sung KWON, Bum-Soon LIM, Myung-Hwan OH, Kwang-Mahn KIM
      Dental Materials Journal.2024; 43(4): 525.     CrossRef
    • Translucency and Polymerization Ability of Contemporary Resin Composites
      Bianca Alves Barata Mills, Cristian Sbardelotto, Mario Couto Neto, Vladi Oliveira Guimaraes Junior, Larissa Maria Cavalcante, Luis Felipe Jochims Schneider
      Biomaterials Connect.2024; 1(1): 1.     CrossRef
    • The Dependence on Hue, Value and Opacity of Real-Time- and Post-Curing Light Transmission in a Nano-Hybrid Ormocer
      Nicoleta Ilie
      Materials.2024; 17(2): 496.     CrossRef
    • Flexural strength and translucency of barium‐silicate‐filled resin nanoceramics for additive manufacturing
      Geun‐Taek Park, Kyung‐Ho Ko, Yoon‐Hyuk Huh, Chan‐Jin Park, Lee‐Ra Cho
      Journal of Esthetic and Restorative Dentistry.2024; 36(3): 445.     CrossRef
    • Color and translucency of enamel in vital maxillary central incisors
      Alvin G. Wee, Damian A. Winkelmann, David J. Gozalo, Masayasu Ito, William M. Johnston
      The Journal of Prosthetic Dentistry.2023; 130(6): 878.     CrossRef
    • Performance of two-flux and four-flux models for predicting the spectral reflectance and transmittance factors of flowable dental resin composites
      Vincent Duveiller, Raphaël Clerc, Julien Eymard, Jean-Pierre Salomon, Mathieu Hébert
      Dental Materials.2023; 39(8): 743.     CrossRef
    • Effect of thickness on the translucency of resin-based composites and glass-ceramics
      Sumi KANG, Seung-Yeon RYU, Kwang-Mahn KIM, Sung-Ho PARK
      Dental Materials Journal.2023; 42(1): 30.     CrossRef
    • Evaluation of fracture strength and translucency of 3D printing resin crown for carious primary anterior tooth
      Young-Jun Ham, Joon-Haeng Lee, Jong-Su Kim, Jong-Bin Kim, Mi-Ran Han, Ji-Sun Shin
      Journal of Korean Academy of Oral Health.2023; 47(1): 40.     CrossRef
    • Digital Light Processing of Zirconia Suspensions Containing Photocurable Monomer/Camphor Vehicle for Dental Applications
      Seo-Young Yang, Young-Hag Koh, Hyoun-Ee Kim
      Materials.2023; 16(1): 402.     CrossRef
    • Translucency of CAD/CAM and 3D Printable Composite Materials for Permanent Dental Restorations
      Alessandro Vichi, Dario Balestra, Nicola Scotti, Chris Louca, Gaetano Paolone
      Polymers.2023; 15(6): 1443.     CrossRef
    • Translucency and Radiopacity of Dental Resin Composites – Is There a Direct Relation?
      LPL Rosado, EA Münchow, ELS de Oliveira, R Lacerda-Santos, DQ Freitas, HL Carlo, FS Verner
      Operative Dentistry.2023; 48(3): E61.     CrossRef
    • Light Transmission Characteristics and Cytotoxicity within A Dental Composite Color Palette
      Nicoleta Ilie, Andrei Cristian Ionescu, Karin Christine Huth, Marioara Moldovan
      Materials.2023; 16(10): 3773.     CrossRef
    • Layer characteristics in strength-gradient multilayered yttria-stabilized zirconia
      Masanao Inokoshi, Hengyi Liu, Kumiko Yoshihara, Mao Yamamoto, Watcharapong Tonprasong, Yasuhiko Benino, Shunsuke Minakuchi, Jef Vleugels, Bart Van Meerbeek, Fei Zhang
      Dental Materials.2023; 39(4): 430.     CrossRef
    • Manufacturing and Characterization of Dental Crowns Made of 5-mol% Yttria Stabilized Zirconia by Digital Light Processing
      Jae-Min Jung, Gyu-Nam Kim, Young-Hag Koh, Hyoun-Ee Kim
      Materials.2023; 16(4): 1447.     CrossRef
    • Effect of artificial aging on the translucency of monolithic zirconia materials sintered at different temperatures
      Burcu Kanpalta, Defne Burduroğlu, Özlem Kara
      The Journal of Prosthetic Dentistry.2022; 128(1): 91.e1.     CrossRef
    • The Influence of Two Curing Protocols on the Colour Stability and Translucency of Resin Luting Agents
      Riccardo Monterubbianesi, Flavia Vitiello, Vincenzo Tosco, Rim Bourgi, Angelo Putignano, Giovanna Orsini
      Applied Sciences.2022; 12(21): 11120.     CrossRef
    • Optical characteristics of experimental dental composite resin materials
      Diana Leyva del Rio, William Michael Johnston
      Journal of Dentistry.2022; 118: 103949.     CrossRef
    • In Vivo Evaluation of the Effects of Sintering Temperature on the Optical Properties of Dental Glass-Ceramics
      Kuo-Cheng Fan, Yu-Ling Lin, Hao-Wei Tsao, Hsuan Chen, Sheng-Yang Lee, Yu-Chen Cheng, Hsiao-Ping Huang, Wei-Chun Lin
      Nanomaterials.2022; 12(13): 2187.     CrossRef
    • Translucency and masking ability of translucent zirconia; comparison with conventional zirconia and lithium disilicate
      Joon Hee Park, Hyun Ji Bang, Nak-Hyun Choi, Eun-Jin Park
      The Journal of Advanced Prosthodontics.2022; 14(5): 324.     CrossRef
    • Color and optical properties of 3D printing restorative polymer‐based materials: A scoping review
      Cristina Espinar, Alvaro Della Bona, María M. Pérez, Rosa Pulgar
      Journal of Esthetic and Restorative Dentistry.2022; 34(6): 853.     CrossRef
    • Effects of Aging on the Color and Translucency of Monolithic Translucent Y‐TZP Ceramics: A Systematic Review and Meta‐Analysis of In Vitro Studies
      Chang-yuan Zhang, Check Agingu, James Kit Hon Tsoi, Hao Yu, Fernanda Faot
      BioMed Research International.2021;[Epub]     CrossRef
    • Effect of Conventional and Electronic Cigarettes Smoking on the Color Stability and Translucency of Tooth Colored Restorative Materials: An In Vitro Analysis
      Hamad A. Alnasser, Ahmed A. Elhejazi, Abdalrahman A. Al-Abdulaziz, Saad S. Alajlan, Syed Rashid Habib
      Coatings.2021; 11(12): 1568.     CrossRef
    • Color interaction between resin composite layers: An overview
      Eman Hani Ismail
      Journal of Esthetic and Restorative Dentistry.2021; 33(8): 1105.     CrossRef
    • Translucency parameter of conventional restorative glass‐ionomer cements
      Joana Yumi Teruya Uchimura, Francielle Sato, Rosangela Getirana Santana, Rafael Menezes‐Silva, Ligia S. Bueno, Ana Flávia Sanches Borges, Maria Fidela de Lima Navarro, John W. Nicholson, Sharanbir K. Sidhu, Renata Corrêa Pascotto
      Journal of Esthetic and Restorative Dentistry.2021; 33(6): 935.     CrossRef
    • Comparison between translucencies of anterior resin composites and natural dental tissues
      Melin Balci, Zeynep Ergucu, Esra Uzer Çelik, Lezize Sebnem Turkun
      Color Research & Application.2021; 46(3): 635.     CrossRef
    • In Vitro Evaluation of Translucency and Color Stability of CAD/CAM Polymer‐Infiltrated Ceramic Materials after Accelerated Aging
      Mohammad D. Al Amri, Nawaf Labban, Saleh Alhijji, Hassan Alamri, Mounir Iskandar, Jeffrey A. Platt
      Journal of Prosthodontics.2021; 30(4): 318.     CrossRef
    • The Thickness and Opacity of Aesthetic Materials Influence the Restoration of Discolored Teeth
      I Durães, A Cavalcanti, P Mathias
      Operative Dentistry.2021; 46(5): 559.     CrossRef
    • Bulk-Fill Direct Restorative Materials: An In Vitro Assessment of Their Physio-Mechanical Properties
      Hui Woon Yeo, May Yeh Loo, Mariam Alkhabaz, Kai Chun Li, Joanne Jung Eun Choi, Abdullah Barazanchi
      Oral.2021; 1(2): 75.     CrossRef
    • Color and Translucency Stability of Three-Dimensional Printable Dental Materials for Crown and Bridge Restorations
      Jong-Eun Kim, Won-Huy Choi, Dasun Lee, Yooseok Shin, Sung-Ho Park, Byoung-Duck Roh, Dohyun Kim
      Materials.2021; 14(3): 650.     CrossRef
    • Effect of Veneering and Hydrothermal Aging on the Translucency of Newly Introduced Extra Translucent and High Translucent Zirconia with Different Thicknesses
      Sevki Cinar, Bike Altan, Victor Feitosa
      BioMed Research International.2021;[Epub]     CrossRef
    • In vitro optical characterization of dental resin composite aged in darkness
      Sarah S. Mikhail, William M. Johnston
      Color Research & Application.2020; 45(2): 345.     CrossRef
    • Color Stability of Dental Reinforced CAD/CAM Hybrid Composite Blocks Compared to Regular Blocks
      Yeong-Ah Kang, Han-Ah Lee, Joseph Chang, Wonjoon Moon, Shin Hye Chung, Bum-Soon Lim
      Materials.2020; 13(21): 4722.     CrossRef
    • Highly translucent dental resin composites through refractive index adaption using zirconium dioxide nanoparticles and organic functionalization
      Carina Kolb, Katrin Gumpert, Herbert Wolter, Gerhard Sextl
      Dental Materials.2020; 36(10): 1332.     CrossRef
    • Spatial Distribution of the Micro-Mechanical Properties in High-Translucent CAD/CAM Resin-Composite Blocks
      Nicoleta Ilie
      Materials.2020; 13(15): 3352.     CrossRef
    • A Comparative Study of Light Transmission by Various Dental Restorative Materials and the Tooth Structure
      N Ilie, G Furtos
      Operative Dentistry.2020; 45(4): 442.     CrossRef
    • The Effect of Surface Treatments on the Mechanical and Optical Behaviors of CAD/CAM Restorative Materials
      Sevcan Kurtulmus‐Yilmaz, Esra Cengiz, Salim Ongun, Izgen Karakaya
      Journal of Prosthodontics.2019;[Epub]     CrossRef
    • Effects of accelerated artificial aging on the translucency and color stability of monolithic ceramics with different surface treatments
      Meral Kurt, Bilge Turhan Bal
      The Journal of Prosthetic Dentistry.2019; 121(4): 712.e1.     CrossRef
    • Translucency thresholds for dental materials
      Marianne Salas, Cristina Lucena, Luis Javier Herrera, Ana Yebra, Alvaro Della Bona, María M. Pérez
      Dental Materials.2018; 34(8): 1168.     CrossRef
    • Color and Translucency of Resin-based Composites: Comparison of A-shade Specimens Within Various Product Lines
      D Kim, S-H Park
      Operative Dentistry.2018; 43(6): 642.     CrossRef
    • Effect of 2 Bleaching Agents with a Content of High Concentrated Hydrogen Peroxide on Stained 2 CAD/CAM Blocks and a Nanohybrid Composite Resin: An AFM Evaluation
      İzgen Karakaya, Esra Cengiz
      BioMed Research International.2017; 2017: 1.     CrossRef
    • Effects of glass chemistry on the optical properties of highly translucent alumina-glass biocomposites for dental restorations
      Afonso Chimanski, Paulo Francisco Cesar, Humberto Naoyuki Yoshimura
      Ceramics International.2017; 43(16): 13970.     CrossRef
    • Relative Translucency of a Multilayered Ultratranslucent Zirconia Material
      Loubna Shamseddine, Zeina Majzoub
      The Journal of Contemporary Dental Practice.2017; 18(12): 1099.     CrossRef

    • ePub LinkePub Link
    • Cite
      CITE
      export Copy Download
      Close
      Download Citation
      Download a citation file in RIS format that can be imported by all major citation management software, including EndNote, ProCite, RefWorks, and Reference Manager.

      Format:
      • RIS — For EndNote, ProCite, RefWorks, and most other reference management software
      • BibTeX — For JabRef, BibDesk, and other BibTeX-specific software
      Include:
      • Citation for the content below
      Criteria for clinical translucency evaluation of direct esthetic restorative materials
      Restor Dent Endod. 2016;41(3):159-166.   Published online June 28, 2016
      Close
    • XML DownloadXML Download
    Figure
    • 0
    • 1
    Criteria for clinical translucency evaluation of direct esthetic restorative materials
    Image Image
    Figure 1 Mean TP values of each shade group of indirect (BG) and direct resin composites (ES). This figure was cited from the reference 23.TP, translucency parameter; BG, BelleGlass NG, (Kerr, Orange, CA, USA); ES, Estelite Sigma (Tokuyama, Tokyo, Japan); EN, enamel; OD, opacious dentin; TL, translucent layer; BS, basic; AS, additional; OP, opaque; BEC, before curing; CIC, curing in the curing chamber; CWL, curing with curing light.
    Figure 2 Categorization of TP values of resin composites. This figure was cited from the reference 8.TP, translucency parameter; GLC, Glacier (SDI Limited, Victoria, Autsria); FZ3, Filtek Z350 (3M ESPE, St. Paul, MN, USA); FSP, Filtek Supreme (3M ESPE); CRX, Ceram X mono (Dentsply DeTrey GmbH, Konstanz, Germany).
    Criteria for clinical translucency evaluation of direct esthetic restorative materials

    TP values of flowable and universal resin composites

    BrandFlowableUniversal
    ES12.7 ± 0.511.2 ± 0.7
    FZ11.0 ± 0.311.2 ± 0.5
    GC10.1 ± 0.29.5 ± 0.4
    TE15.7 ± 1.112.3 ± 0.7

    This table was cited from the reference 24.

    ES, Estelite Flow Quick, Estelite Sigma (Tokuyama, Tokyo, Japan); FZ, Filtek Z350 flowable, Filtek Z350 Universal (3M ESPE, St. Paul, MN, USA); GC, Unifil Flow, Gradia Direct (GC, Tokyo, Japan); TE, Tetric Flow, Tetric Ceram (Ivoclar Vivadent AG., Schaan, Liechtenstein).

    TP values of resin composites

    MaterialShadeTP
    GRDA215.0 ± 0.5
    A316.6 ± 0.4
    A3.516.3 ± 0.6
    CV13.3 ± 0.7
    PA214.3 ± 0.3
    PA314.7 ± 0.9
    PA3.515.1 ± 0.5
    GROA116.4 ± 0.4
    A217.1 ± 0.7
    A317.9 ± 0.8
    A3.516.5 ± 0.2
    B217.9 ± 0.7
    PO4A118.9 ± 0.3a
    A314.0 ± 0.4
    A3.517.4 ± 1.6
    PRMA214.7 ± 1.0
    A314.1 ± 0.4
    A3.514.5 ± 1.4
    B213.7 ± 0.6
    clear20.6 ± 1.0a

    This table was cited from the reference 8.

    GRD, Gradia Direct (GC, Tokyo, Japan); GRO, Gradio (VOCO, Cuxhaven, Germany); PO4, Point 4 (Kerr, Orange, CA, USA); PRM, Premise (Kerr).

    aHigh translucent material.

    Table 1 TP values of flowable and universal resin composites

    This table was cited from the reference 24.

    ES, Estelite Flow Quick, Estelite Sigma (Tokuyama, Tokyo, Japan); FZ, Filtek Z350 flowable, Filtek Z350 Universal (3M ESPE, St. Paul, MN, USA); GC, Unifil Flow, Gradia Direct (GC, Tokyo, Japan); TE, Tetric Flow, Tetric Ceram (Ivoclar Vivadent AG., Schaan, Liechtenstein).

    Table 2 TP values of resin composites

    This table was cited from the reference 8.

    GRD, Gradia Direct (GC, Tokyo, Japan); GRO, Gradio (VOCO, Cuxhaven, Germany); PO4, Point 4 (Kerr, Orange, CA, USA); PRM, Premise (Kerr).

    aHigh translucent material.


    Restor Dent Endod : Restorative Dentistry & Endodontics
    Close layer
    TOP