Skip Navigation
Skip to contents

Restor Dent Endod : Restorative Dentistry & Endodontics

OPEN ACCESS

Articles

Page Path
HOME > Restor Dent Endod > Volume 43(1); 2018 > Article
Research Article Plugger temperature of cordless heat carriers according to the time elapsed
Hoon-Sang Chang1orcid, Se-Hee Park2orcid, Kyung-Mo Cho2orcid, Jin-Woo Kim2orcid
Restor Dent Endod 2018;43(1):e12.
DOI: https://doi.org/10.5395/rde.2018.43.e12
Published online: February 7, 2018

1Department of Conservative Dentistry, Chonnam National University School of Dentistry, Gwangju, Korea.

2Department of Conservative Dentistry, Gangneung-Wonju National University School of Dentistry, Gangneung, Korea.

Correspondence to Jin-Woo Kim, DDS, MSD, PhD. Professor, Department of Conservative Dentistry, Gangneung-Wonju National University College of Dentistry, 7 Jukheon-gil, Gangneung 25457, Korea. mendo7@gwnu.ac.kr
• Received: December 18, 2017   • Accepted: January 20, 2018

Copyright © 2018. The Korean Academy of Conservative Dentistry

This is an Open Access article distributed under the terms of the Creative Commons Attribution Non-Commercial License (https://creativecommons.org/licenses/by-nc/4.0/) which permits unrestricted non-commercial use, distribution, and reproduction in any medium, provided the original work is properly cited.

  • 1,506 Views
  • 8 Download
  • 3 Crossref
prev next
  • Objective
    The purpose of this study was to measure the temperature of the plugger tip of 3 cordless heat carriers set at 200°C.
  • Materials and Methods
    Pluggers of the same taper (0.06, 0.08, 0.10) and similar tip sizes (sizes of 50 and 55) from 3 cordless heat carriers, namely SuperEndo-α2 (B & L Biotech), Friendo (DXM), and Dia-Pen (Diadent), were used and an electric heat carrier, System B (SybronEndo), was used as the control. The plugger tips were covered with customized copper sleeves, heated for 10 seconds, and the temperature was recorded with a computerized measurement system attached to a K-type thermometer at room temperature (n = 10). The data were analyzed with 2-way analysis of variance at a 5% level of significance.
  • Results
    The peak temperature of the plugger tips was significantly affected by the plugger taper and by the heat carrier brand (p < 0.05). The peak temperature of the plugger tips was between 177°C and 325°C. The temperature peaked at 207°C–231°C for the 0.06 taper pluggers, 195°C–313°C for the 0.08 taper pluggers, and 177°C–325°C for the 0.10 taper pluggers. Only 5 of the 12 plugger tips showed a temperature of 200°C ± 10°C. The time required to reach the highest temperature or 200°C ± 10°C was at least 4 seconds.
  • Conclusion
    When using cordless heat carriers, clinicians should pay attention to the temperature setting and to the activation time needed to reach the intended temperature of the pluggers.
Electric heat carriers are used for the continuous wave of condensation technique, which ensures homogeneous filling of the gutta-percha in the apical portion of the root canal system [1,2,3]. The System B Heat Source (SybronEndo, Orange, CA, USA) is a widely used electric heat carrier, and its pluggers are continuously heated internally with adjustable temperature settings. For the continuous wave of condensation technique, the temperature is usually set at 200°C with a power level of 10. With a gutta-percha cone inside the root canal, the plugger is forced in the apical direction from the orifice of the root canal to 3–4 mm short of the working length while heat is provided to the plugger for 1.5 to 2 seconds. Upon reaching that point, apical pressure is applied to the plugger without a heat supply for 10 seconds to compensate for the dimensional change of the gutta-percha during cooling. Finally, the plugger is heated for 1 additional second and pulled out of the root canal [2].
For ideal adaptation of gutta-percha to the root canal wall, the temperature of the gutta-percha should be in the range of 37°C to 45°C. When the temperature is raised above 45°C, volumetric changes take place due to the phase change of the gutta-percha [4]. Additionally, temperatures over 130°C can irreversibly modify the molecular structure of the gutta-percha [5,6]. Therefore, the temperature of the electric heat carrier is an important factor for proper heating of the gutta-percha. Many studies on plugger temperatures have been conducted with System B (SB) [1,7,8,9,10]. These studies reported that the heat carrier temperature setting was significantly different from the measured temperature of the pluggers.
Currently, cordless heat carriers are widely used because of their compact size and convenience compared to traditional electric heat carriers. However, the performance of cordless heat carriers has not yet been evaluated, although the use of small batteries could affect the temperature of the pluggers and the stability of the temperature. Therefore, the purpose of this study was to measure the temperature of the plugger tip of cordless heat carriers set at 200°C and to measure the time needed to reach the peak temperature. The null hypothesis tested was that the temperature is not affected by plugger tapers or by the brand of cordless heat carrier.
Pluggers with similar tip sizes and different tapers were used with 3 cordless heat carriers: size 55/(0.06, 0.08, and 0.10) for SuperEndo-α2 (SE; B & L Biotech, Ansan, Korea), and size 50/(0.06, 0.08, and 0.10) for Friendo (FE; DXM Co., Ltd., Goyang, Korea) and Dia-Pen (DP; DiaDent, Cheongju, Korea). Three pluggers, of size 50/(0.06, 0.08, and 0.10), for SB were used as controls. The pluggers were connected to the heat carriers and firmly positioned with a laboratory vise fixed to a table. For temperature measurements, customized copper sleeves were fabricated to cover 1 mm of each plugger tip and connected to a K-type thermometer (Center 306, Center Technology, Taipei, Taiwan, Figure 1). The electric heat carriers were fully charged, and the temperature was set at 200°C for SE, at medium temperature mode (200°C) for DP and FE, and at 200°C with a power level of 10 for SB. The pluggers were heated for 10 seconds, and the temperature was recorded for 15 seconds using a thermometer connected to a computerized measurement system with RS-232 software (Center Technology) at room temperature of 25°C–28°C (n = 10). Sixty-five seconds of rest time was provided for the pluggers to cool down to room temperature between the temperature measurements. Therefore, the temperature measurement cycle was performed every 80 seconds. The temperature of the plugger tips was analyzed with 2-way analysis of variance (ANOVA; SPSS 21, IBM Corp., Armonk, NY, USA) to examine 2 factors: the plugger taper and the electric heat carrier brand (α = 0.05). One-way ANOVA and the Tukey's honest significant difference (HSD) test were used to compare the temperature of the plugger tips according to the 3 plugger tapers and 4 heat carrier brands (α = 0.05).
Figure 1
Photograph of a cordless heat plugger connected to a K-type thermometer by a customized copper sleeve.
rde-43-e12-g001.jpg
Two-way ANOVA showed significant effects for both the main factors (p < 0.05) and their interaction (p < 0.05). The temperature of the 0.08 and 0.10 taper pluggers was significantly higher than that of the 0.06 taper pluggers. The temperature of the cordless heat carriers was significantly higher than that of the traditional electric heat carrier. The temperature of FE was significantly higher than that of SE, which was higher than that of DP (Table 1).
Table 1

Peak temperature (°C) at the tip of the electric heat pluggers

Group 0.06 taper 0.08 taper 0.10 taper Total
SE 207 ± 3Aa 215 ± 1Bb 226 ± 1Cc 216 ± 8c
FE 231 ± 4Ac 313 ± 3Bc 325 ± 6Cd 290 ± 43d
DP 215 ± 2Cb 196 ± 2Ba 194 ± 1Ab 201 ± 10b
SB 210 ± 5Ca 195 ± 3Ba 177 ± 2Aa 194 ± 14a
Total 216 ± 10A 230 ± 49B 231 ± 58B
Values are presented as mean ± standard deviation. Values with the same uppercase superscript letters (in the same row) or lowercase superscript letters (in the same column) are not significantly different.
SE, SuperEndo-α2; FE, Friendo; DP, Dia-Pen; SB, System B.
The temperature of SE and FE was lowest with the 0.06 taper pluggers and increased significantly as the plugger taper increased. In contrast, the temperature of DP and SB was the lowest with the 0.10 taper pluggers and increased significantly as the plugger taper decreased. Among the pluggers with the same taper, significant differences in the peak temperature were observed between the electric heat carriers. Only 5 of the 12 pluggers showed temperature differences of less than 10°C from the set temperature of 200°C (Table 1).
When considering the time elapsed before the peak temperature was reached, none of the pluggers showed a temperature increase after an activation time of 1 second. At 2 seconds after activation, the highest temperatures were 71°C, 88°C, and 69°C for the SE/0.06 taper, SE/0.08 taper, and FE/0.10 taper pluggers, respectively. At 3 seconds, the highest temperatures were 136°C, 157°C, and 174°C for the SB/0.06 taper, DP/0.08 taper, and DP/0.10 taper pluggers, respectively.
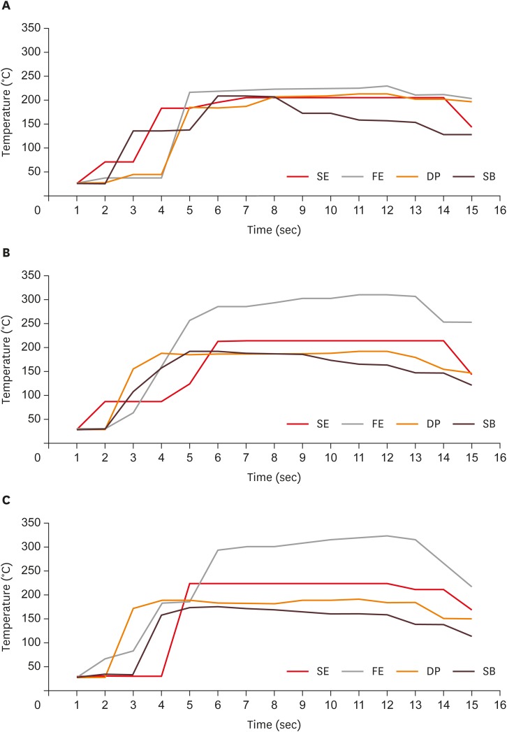
The temperature of SB (control) increased above 100°C at 3–4 seconds, peaked at 5–6 seconds, and decreased slowly thereafter (Figure 2). Among the 0.06 taper pluggers (Figure 2A), SE reached 185°C at 4 seconds, 205°C at 7 seconds, and peaked at 207°C at 10 seconds; DP reached 185°C at 5 seconds, 208°C at 8 seconds, and peaked at 215°C at 12 seconds; and FE reached 218°C at 5 seconds and peaked at 230°C at 12 seconds. For the 0.08 taper pluggers (Figure 2B), SE reached 214°C at 6 seconds and peaked at 215°C at 10 seconds, DP reached 190°C at 4 seconds and peaked at 192°C at 11 seconds, and FE showed an abrupt temperature increase to 258°C at 5 seconds and peaked at 311°C at 11 seconds. For the 0.10 taper pluggers (Figure 2C), SE peaked at 226°C at 5 seconds, DP reached 190°C at 4 seconds and peaked at 192°C at 11 seconds, and FE reached 185°C at 4 seconds, 296°C at 6 seconds, and peaked at 325°C at 12 seconds. The time required to reach the set temperature (200°C ± 10°C) was 5–8 seconds for the 0.06-taper pluggers, 4–6 seconds for the 0.08 taper pluggers, and 4–5 seconds for the 0.10 taper pluggers (Figure 2).
Figure 2
Plugger temperature measurements for 15 seconds. (A) 0.06 tapered pluggers, (B) 0.08 tapered pluggers, (C) 0.10 tapered pluggers.
SE, SuperEndo-α2; FE, Friendo; DP, Dia-Pen; SB, System B.
rde-43-e12-g002.jpg
The temperature of electric heat pluggers or the temperature of root canals heated with the pluggers is usually measured with thermocouples [1,7,8,11] or infrared thermography [9,12,13,14]. Temperature measurement with thermocouples proceeds through direct contact with one point of an object per thermocouple. Therefore, the closeness of the contact is an important factor in temperature measurement [9,15,16]. Multiple thermocouples can be used for multiple points, but temperature loss through the thermocouples is expected [9,17]. Alternatively, infrared thermography can measure the temperature of the plugger at a single point, at multiple points, or as a whole surface [13,14,16]. In the study of Venturi et al. [1], the temperature displayed on the electric heat carriers was different from the temperature measured at the pluggers. The temperature of SB was measured in air with a thermocouple in direct contact with the F plugger, and the peak temperature was 126°C at a 4 mm distance from the plugger tip when the temperature was set at 200°C. Moreover, at the tip, the temperature was only 108°C [1]. Choi et al. [9] used infrared thermography to measure the whole surface of all sizes of SB pluggers and reported that the temperature peaked at 192°C–253°C between 0.5 and 1.5 mm from the tip when the electric heat carrier was set at 200°C at a power level of 10.
Unlike a previous study [9] that used multiple thermocouples to measure the plugger temperature, we measured the temperature of the plugger tips because the tip is in direct contact with the gutta-percha in the apical third of the root canal. Additionally, by measuring only the tip of the plugger, the temperature can be measured more accurately because there is no temperature loss through multiple thermocouples [9]. At a temperature setting of 200°C, the temperature peaked at 207°C–231°C for the 0.06 taper pluggers, 195°C–313°C for the 0.08 taper pluggers, and 177°C–325°C for the 0.10 taper pluggers. The temperature variation of the pluggers increased as the plugger taper increased. FE showed the highest peak temperature for each tapered plugger and the temperature reached over 300°C with the 0.08 taper and 0.10 taper pluggers. In contrast, SB showed the lowest peak temperature of 177°C with the 0.10 tapered pluggers. Therefore, the null hypothesis was rejected because the peak temperature differed according to the plugger taper as well as the cordless heat carrier brand.
Overall, the cordless heat carriers showed variable plugger temperatures similar to those reported in previous studies on SB. The electric heat plugger, the cordless heat carrier, and its software program could be the main variables affecting the temperature. Regarding the electric heat pluggers, the structure and arrangement of the hot wire inside the electric heat pluggers, as well as the material or the coating of the pluggers, could also explain the temperature differences. The condition of the heat carriers, such as the electric conduction inside the heat carriers and the condition of the carriers' batteries, could have also affected the temperature. According to the manufacturers, 2 of the electric heat carriers, DP and FE, use the same hardware but a different software program. Therefore, the temperature difference between these systems was primarily due to the software program.
The time to reach the peak temperature was 5–6 seconds for SB, 5–10 seconds for SE, and 11–12 seconds for DP and FE. DP and FE showed a continuous temperature increase even after the heat application was stopped. As stated before, the continuous wave of condensation technique suggests 1.5 to 2 seconds of heat application while forcing the plugger in the apical direction. However, at 2 seconds of activation, the pluggers showed temperatures between 26°C and 88°C, and it took at least 4 seconds for the pluggers to reach a temperature of 200°C ± 10°C.
The major limitation of this study was that only 1 plugger was assigned per taper and 1 heat carrier was assigned per manufacturer. Therefore, the quality of the particular pluggers or heat carriers used for this study could have affected the results. Additionally, some procedural errors could have affected the temperature measurements. The contact between the copper sleeves and the plugger tips might not have been identical during the temperature measurements. Additionally, heat loss and time lag could have been involved when the heat was conducted from the plugger tips through the copper sleeves to the thermometer.
The results of this study showed that the plugger temperature of cordless heat carriers and the time to reach the peak temperature varied according to the plugger taper and the heat carrier brand. Therefore, when cordless heat carriers are used for the continuous wave of condensation technique, the temperature setting and the activation time should be monitored to reach the intended temperature of the pluggers.
The authors would like to thank Dr. Jou Hwe Kim and Dr. Eun-Ju Shim for their experimental assistance.

Conflict of Interest: No potential conflict of interest relevant to this article is reported.

Author Contributions:

  • Conceptualization: Kim JW.

  • Data curation: Park SH, Cho KM, Kim JW.

  • Formal analysis: Park SH, Cho KM.

  • Funding acquisition: Kim JW.

  • Investigation: Park SH, Cho KM, Kim JW.

  • Methodology: Park SH, Cho KM, Kim JW.

  • Project administration: Kim JW.

  • Resources: Chang HS, Kim JW.

  • Software: Chang HS.

  • Supervision: Kim JW.

  • Validation: Chang HS, Kim JW.

  • Visualization: Chang HS, Kim JW.

  • Writing - original draft: Chang HS.

  • Writing - review & editing: Chang HS, Kim JW.

  • 1. Venturi M, Pasquantonio G, Falconi M, Breschi L. Temperature change within gutta-percha induced by the System-B Heat Source. Int Endod J 2002;35:740-746.ArticlePubMed
  • 2. Buchanan LS. The continuous wave of obturation technique: ‘centered’ condensation of warm gutta percha in 12 seconds. Dent Today 1996;15:60-62.
  • 3. Villegas JC, Yoshioka T, Kobayashi C, Suda H. Intracanal temperature rise evaluation during the usage of the System B: replication of intracanal anatomy. Int Endod J 2005;38:218-222.ArticlePubMed
  • 4. Schilder H, Goodman A, Aldrich W. The thermomechanical properties of gutta-percha. Part V. Volume changes in bulk gutta-percha as a function of temperature and its relationship to molecular phase transformation. Oral Surg Oral Med Oral Pathol 1985;59:285-296.PubMed
  • 5. Maniglia-Ferreira C, Gurgel-Filho ED, Silva JB Jr, Paula RC, Feitosa JP, Gomes BP, Souza-Filho FJ. Brazilian gutta-percha points. Part II: thermal properties. Braz Oral Res 2007;21:29-34.ArticlePubMed
  • 6. Combe EC, Cohen BD, Cummings K. Alpha- and beta-forms of gutta-percha in products for root canal filling. Int Endod J 2001;34:447-451.ArticlePubMedPDF
  • 7. Blum JY, Parahy E, Machtou P. Warm vertical compaction sequences in relation to gutta-percha temperature. J Endod 1997;23:307-311.PubMed
  • 8. Silver GK, Love RM, Purton DG. Comparison of two vertical condensation obturation techniques: Touch 'n Heat modified and System B. Int Endod J 1999;32:287-295.ArticlePubMed
  • 9. Choi SA, Kim SH, Hwang YC, Youn C, Oh BJ, Choi BY, Juhng WN, Jeong SW, Hwang IN, Oh WM. Infrared thermographic analysis of temperature rise on the surface of buchanan plugger. J Korean Acad Conserv Dent 2002;27:370-381.Article
  • 10. Viapiana R, Baluci CA, Tanomaru-Filho M, Camilleri J. Investigation of chemical changes in sealers during application of the warm vertical compaction technique. Int Endod J 2015;48:16-27.ArticlePubMed
  • 11. Sant’Anna-Júnior A, Tanomaru-Filho M, Hungaro Duarte MA, Santos Nunes Reis JM, Guerreiro-Tanomaru JM. Temperature changes in gutta-percha and Resilon cones induced by a thermomechanical compaction technique. J Endod 2009;35:879-882.ArticlePubMed
  • 12. Lipski M. Root surface temperature rises during root canal obturation, in vitro, by the continuous wave of condensation technique using System B HeatSource. Oral Surg Oral Med Oral Pathol Oral Radiol Endod 2005;99:505-510.ArticlePubMed
  • 13. Lipski M. Root surface temperature rises in vitro during root canal obturation using hybrid and microseal techniques. J Endod 2005;31:297-300.ArticlePubMed
  • 14. Lipski M, Woźniak K. In vitro infrared thermographic assessment of root surface temperature rises during thermafil retreatment using system B. J Endod 2003;29:413-415.ArticlePubMed
  • 15. Mc Cullagh JJ, Setchell DJ, Gulabivala K, Hussey DL, Biagioni P, Lamey PJ, Bailey G. A comparison of thermocouple and infrared thermographic analysis of temperature rise on the root surface during the continuous wave of condensation technique. Int Endod J 2000;33:326-332.ArticlePubMed
  • 16. Chang HS, Cho KJ, Park SJ, Lee BN, Hwang YC, Oh WM, Hwang IN. Thermal analysis of bulk filled composite resin polymerization using various light curing modes according to the curing depth and approximation to the cavity wall. J Appl Oral Sci 2013;21:293-299.ArticlePubMedPMC
  • 17. Jurcak JJ, Weller RN, Kulild JC, Donley DL. In vitro intracanal temperatures produced during warm lateral condensation of Gutta-percha. J Endod 1992;18:1-3.ArticlePubMed

Tables & Figures

REFERENCES

    Citations

    Citations to this article as recorded by  
    • Infrared thermographic evaluation of root surface during warm vertical compaction technique
      Aysenur Oncu, Ecem Ozgur, Merve Sarı, Pelin Tufenkci, Berkan Celikten
      European Journal of Oral Sciences.2026;[Epub]     CrossRef
    • Comparative Analysis of Temperature Variation with Three Continuous Wave Obturation Systems in Endodontics: An In Vitro Study
      Jesús Mena-Álvarez, Maria Ruiz-Barrio, Norberto Quispe-López, Ana de Pedro-Muñoz, Cristina Rico-Romano
      Applied Sciences.2022; 12(12): 6229.     CrossRef
    • Effect of Heat Softening versus Ultrasonic Removal of Root-End Gutta-Percha on the Quality of Root-End Preparation for Endodontic Microsurgery
      Zhiting Ling, Ziting Zheng, Yuting Zeng, Lifang Jiang, Yuan Wu, Buling Wu, Wenjuan Yan, Lavinia C. Ardelean
      Scanning.2021; 2021: 1.     CrossRef

    • ePub LinkePub Link
    • Cite
      CITE
      export Copy Download
      Close
      Download Citation
      Download a citation file in RIS format that can be imported by all major citation management software, including EndNote, ProCite, RefWorks, and Reference Manager.

      Format:
      • RIS — For EndNote, ProCite, RefWorks, and most other reference management software
      • BibTeX — For JabRef, BibDesk, and other BibTeX-specific software
      Include:
      • Citation for the content below
      Plugger temperature of cordless heat carriers according to the time elapsed
      Restor Dent Endod. 2018;43(1):e12  Published online February 7, 2018
      Close
    • XML DownloadXML Download
    Figure
    • 0
    • 1
    Plugger temperature of cordless heat carriers according to the time elapsed
    Image Image
    Figure 1 Photograph of a cordless heat plugger connected to a K-type thermometer by a customized copper sleeve.
    Figure 2 Plugger temperature measurements for 15 seconds. (A) 0.06 tapered pluggers, (B) 0.08 tapered pluggers, (C) 0.10 tapered pluggers.SE, SuperEndo-α2; FE, Friendo; DP, Dia-Pen; SB, System B.
    Plugger temperature of cordless heat carriers according to the time elapsed

    Peak temperature (°C) at the tip of the electric heat pluggers

    Group0.06 taper0.08 taper0.10 taperTotal
    SE207 ± 3Aa215 ± 1Bb226 ± 1Cc216 ± 8c
    FE231 ± 4Ac313 ± 3Bc325 ± 6Cd290 ± 43d
    DP215 ± 2Cb196 ± 2Ba194 ± 1Ab201 ± 10b
    SB210 ± 5Ca195 ± 3Ba177 ± 2Aa194 ± 14a
    Total216 ± 10A230 ± 49B231 ± 58B

    Values are presented as mean ± standard deviation. Values with the same uppercase superscript letters (in the same row) or lowercase superscript letters (in the same column) are not significantly different.

    SE, SuperEndo-α2; FE, Friendo; DP, Dia-Pen; SB, System B.

    Table 1 Peak temperature (°C) at the tip of the electric heat pluggers

    Values are presented as mean ± standard deviation. Values with the same uppercase superscript letters (in the same row) or lowercase superscript letters (in the same column) are not significantly different.

    SE, SuperEndo-α2; FE, Friendo; DP, Dia-Pen; SB, System B.


    Restor Dent Endod : Restorative Dentistry & Endodontics
    Close layer
    TOP