Department of Conservative Dentistry, College of Dentistry, Seoul National University, Korea.
Copyright © 2003 Korean Academy of Conservative Dentistry
Materials used in this study
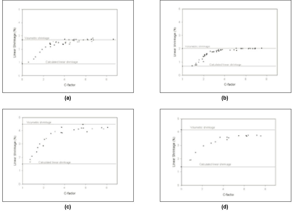
Volumetric polymerization shrinkage and linear shrinkage of composite resins at varying C-factor
S.D. in parenthesis
N=5 in volumetric shrinkage measurement, however the number of samples varied in linear shrinkage measurement.
Cure speed based on Peak Time (P.T.) of composites at varying C-factor
Consistency (viscosity) based on the flow of composite resins
Relative flow is the flow value normalized to that of Z1 S.D. in parenthesis.
N=5
S.D. in parenthesis N=5 in volumetric shrinkage measurement, however the number of samples varied in linear shrinkage measurement.
Relative flow is the flow value normalized to that of Z1 S.D. in parenthesis. N=5
