Department of Conservative Dentistry, Division of Dentistry, Graduate of Kyung Hee University
Copyright © 2007 The Korean Academy of Conservative Dentistry
This is an Open Access article distributed under the terms of the Creative Commons Attribution Non-Commercial License (http://creativecommons.org/licenses/by-nc/3.0) which permits unrestricted non-commercial use, distribution, and reproduction in any medium, provided the original work is properly cited.
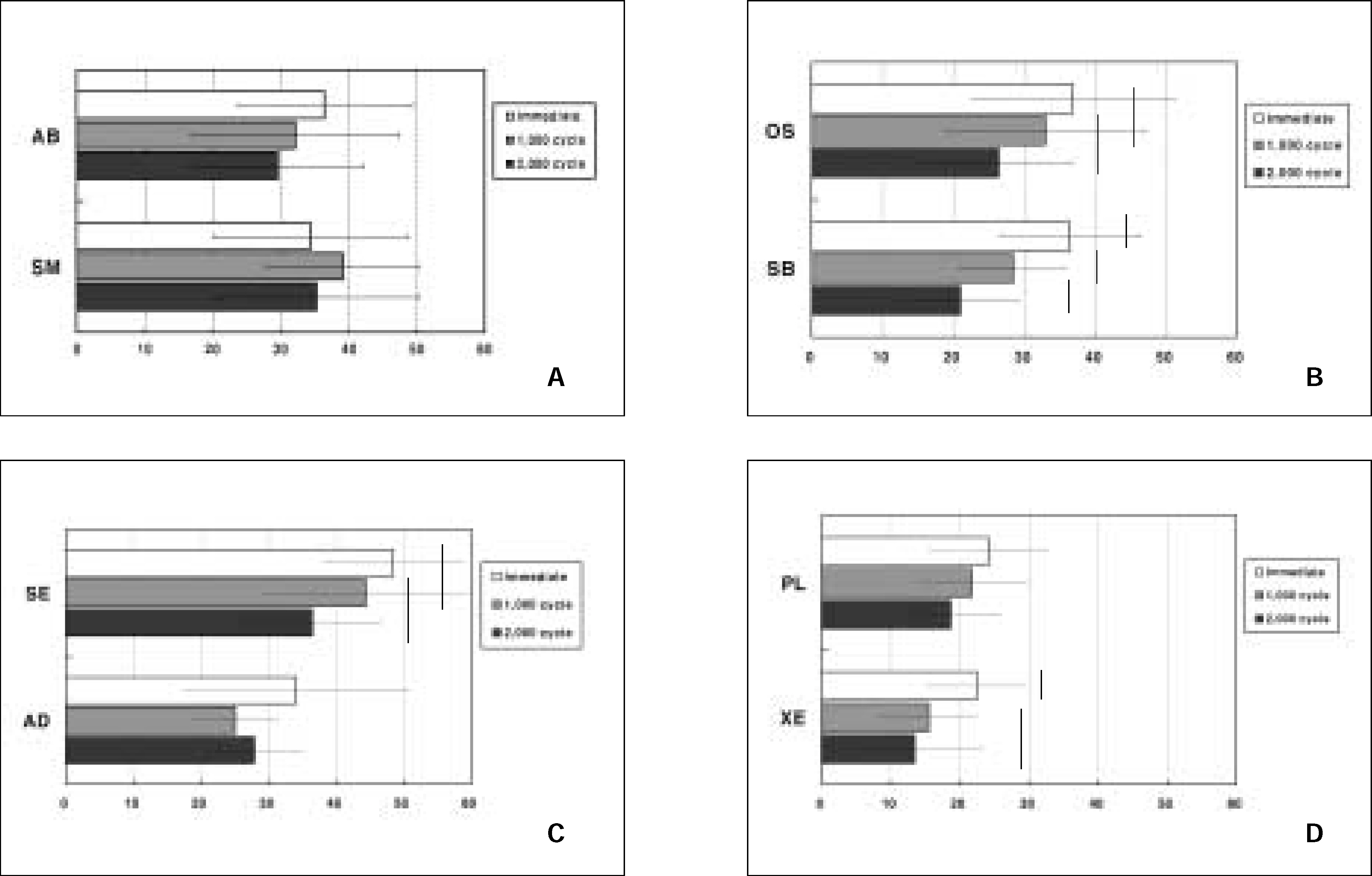
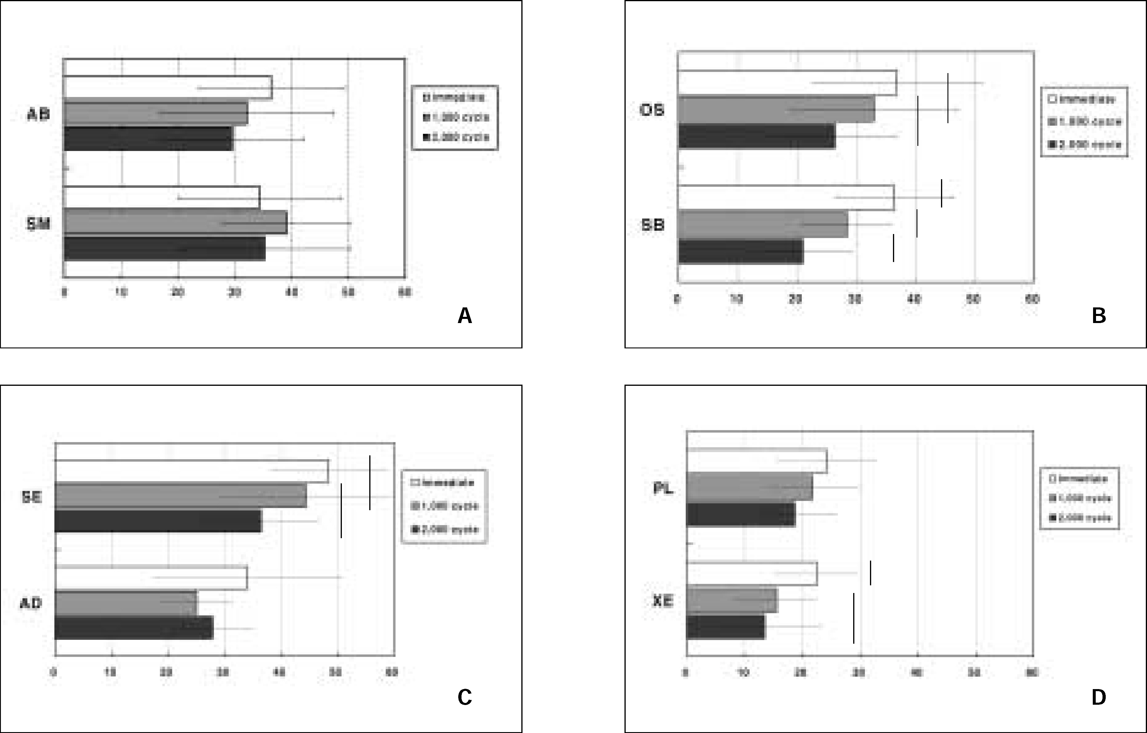
3-step total etching adhesives showed stable, but bond strength of 2-step adhesives were decreased as thermocycling stress.
SE showed the highest bond strength, but single step adhesives (PL, XE) had the lowest value both before and after thermocycling.
Most of adhesives showed adhesive failure. The total-etching systems were prone to adhesive failure and the single-step systems were mixed failure after thermocycling.
A. 3 step adhesive, B. 2 step total-etching adhesive, C. 2 step self-etching adhesive, D. 1 step self-etching adhesive. Vertical bar means the statistical significance in same adhesive.
A. Immediate tested specimen. Hybrid layer was formed uniformly and resin tags were deeply infiltrated into dentinal tubules so that formed lateral braches. B. A specimen after 2,000 thermocycling. Note some gaps on the top of hybrid layer. C. Mixed failed surface that adhesive failure at the top or bottom of hybrid layer in upper side and cohesive failure of composite in lower side of micrograph (HL: Hybrid Layer, C: Composite Resin, RT: Resin Tag, DT: Dentinal Tubule).
A. Immediate tested specimen. Relative thin hybrid layer that was well integrated without defect was formed uniformly and resin tags were deeply infiltrated into dentinal tubules. B. A specimen after 2,000 thermocycling. Some broken resin tags below hybrid layer were observed though long tags were formed (HL: Hybrid Layer, C: Composite Resin, RT: Resin Tag, DT: Dentinal Tubule).
A. Immediate tested specimen bonded with PL. Relative thicker hybrid layer was formed uniformly and well demarcated from adhesive layer and greater number of resin tags were deeply infiltrated into dentinal tubules that was connected each other by lateral braches. B. Fractured surface of PL after 2,000 thermocycling shows adhesive failure that peritubular dentin is remained partially. C. Adhesive failed surface of PL 2,000 group. Adhesive layer is a worm-eaten appearance that allows water movement between the interface and the underlying hydrated dentin. D. A specimen after 2,000 thermocycling. Note some gaps between adhesive layer and top of hybrid layer (HL: Hybrid Layer, C: Composite Resin, RT: Resin Tag, DT: Dentinal Tubule).
| Type | Adhesives(codes) | Composition | Application mode |
|---|---|---|---|
| 3-step total etching systems | PrimerA:- NTG-GMA (N(p-tolyl)glycine-glycidyl | a, b1, | |
| methacrylate), acetone, ethanol, water | c1, e, f | ||
| Primer B: | |||
| BPDM (biphenyl dimethacrylate), photoinitiator, acetone | |||
| All-Bond 2 | D/E bonding resin: | ||
| (AB) | Bis-GMA (bisphenol A glycidyl methacrylate), | ||
| UDMA(urethane dimethacrylate), HEMA | |||
| (2-Hydroxyethyl methacrylate), | |||
| CQ (camphorquinone) | |||
| Scotchbond | HEMA, Polyalkenoic acid copolymer, | a, b1, | |
| MP (SM) | Bis-GMA | c1, e, f | |
| 2-step total-etching- systems | One-Step (OS) | Bis-GMA, BPDM, HEMA, Acetone, CQ | a, d, |
| c1, e, f | |||
| Single Bond | Bis-GMA, HEMA, Bisphenol A glycerolate | a, d, | |
| (SB) | dimethacrylate, Water, UDMA, Polyalkenoic | c1, e, f | |
| acid copolymer, Ethanol | |||
| 2-step self etching-systems | Clearfil SE | MDP (10-methacryloyloxydecyl dihydrogen phosphate), | b2, d, |
| Bond (SE) | HEMA, N,N-Diethanol p-toluidine, water, Bis-GMA, | c2, e, f | |
| HEMA, N,N-Diethanol p-toluidine, microfiller, CQ | |||
| Phosphoric acid ether acrylate, Hydrolytically stable | b2, d, | ||
| AdheSE(AD) | bisacrylamide, Water, Initiators and stabilizers, | c2, e, f | |
| Bis-GMA, GDMA (glycerol dimethacrylate), HEMA, | |||
| Highly dispersed silica filler | |||
| Single-step self-etching systems | Adper- | Water, stabilizer, parabenes, methacrylated phosphoric | e, d, |
| Prompt | acid esters, fluoride complex, photoinitiator BAPO | c2, f | |
| L-pop (PL) | (bisacylphosphine oxide) | ||
| Xeno III (XE) | Water, ethanol, HEMA, methacryloxyethyl-pyrophosphate, | e, d, | |
| F-releasing phosphazene, UDMA, micro-filler, CQ | c2, f |
| Adhesive\Thermo cycling | 3 step TEA |
2 step TEA |
2 step SEA |
1 step SEA |
||||
|---|---|---|---|---|---|---|---|---|
| SM | AB | OS | SB | SE | AD | PL | XE | |
| Immediate |
34.4 ± 14.4 |
36.4 ± 12.8 |
36.9 ± 14.2c |
36.5 ± 9.9c |
48.5 ± 10.2D |
34.1 ± 16.6B |
24.1 ± 8.4γ |
22.4 ± 7.2γ |
| 1,000 cycles |
39.1 ± 11.1 |
32.1 ± 15.3 |
33.0 ± 14.1b c |
28.4 ± 7.4ab |
44.4 ± 15.0CD |
25.1 ± 6.3A |
21.7 ± 7.9 βγ |
15.5 ± 6.9αβ |
| 2,000 cycles | 35.3 ± 15.0 | 29.6 ± 12.6 | 26.4 ± 10.4ab | 21.0 ± 8.2a | 36.5 ± 10.1BC | 28.0 ± 7.2AB | 18.7 ± 6.9 αβγ | 13.5 ± 9.7α |
a - acid etch for 15 sec and rinse, b1 - primer, b2 - SEP (self-etch primer), c1 - moist surface properly, c2 - dry, d - dwell for 10 – 40 sec, e - adhesive, f - light cure (10sec, 600 mW/cm2
