Skip Navigation
Skip to contents

Restor Dent Endod : Restorative Dentistry & Endodontics

OPEN ACCESS

Articles

Page Path
HOME > Restor Dent Endod > Volume 50(4); 2025 > Article
Research Article Difference in light transmittance and depth of cure of flowable composite depending on tooth thickness: an in vitro experimental study
Seong-Pyo Bae1orcid, Myung-Jin Lee1,2,3orcid, Kyung-San Min1,2,3orcid, Mi-Kyung Yu1,2,3orcid, Kwang-Won Lee1,2,3,*orcid
Restor Dent Endod 2025;50(4):e39.
DOI: https://doi.org/10.5395/rde.2025.50.e39
Published online: November 28, 2025

1Department of Conservative Dentistry, School of Dentistry, Jeonbuk National University, Jeonju, Korea

2Research Institute of Clinical Medicine, Jeonbuk National University, Jeonju, Korea

3Biomedical Research Institute, Jeonbuk National University Hospital, Jeonju, Korea

*Correspondence to Kwang-Won Lee, DDS, PhD Department of Conservative Dentistry, School of Dentistry, Jeonbuk National University, 567 Baekje-daero, Jeonju 54896, Korea Email: lkw@jbnu.ac.kr

Citation: Bae SP, Lee MJ, Min KS, Yu MK, Lee KW. Difference in light transmittance and depth of cure of flowable composite depending on tooth thickness: an in vitro experimental study. Restor Dent Endod 2025;50(4):e39.


Seong-Pyo Bae and Myung-Jin Lee contributed equally to this work as co-first authors.

• Received: August 28, 2025   • Revised: June 17, 2025   • Accepted: July 10, 2025

© 2025 The Korean Academy of Conservative Dentistry

This is an Open-Access article distributed under the terms of the Creative Commons Attribution Non-Commercial License (http://creativecommons.org/licenses/by-nc/4.0) which permits unrestricted non-commercial use, distribution, and reproduction in any medium, provided the original work is properly cited.

  • 1,564 Views
  • 132 Download
prev next
  • Objectives
    This study aimed to quantify light attenuation through varying tooth thicknesses and its impact on the depth of cure of composite resin.
  • Methods
    Twenty extracted premolars were used to create enamel-dentin discs that were sanded progressively in 0.5 mm increments from 2.5 mm to 0.5 mm. Light irradiance was measured with and without tooth specimens to evaluate light transmittance. Resin was cured beneath different thicknesses, and the depth of cure was assessed using the Vickers hardness test.
  • Results
    The results demonstrated that light transmittance significantly decreased as tooth thickness increased (p < 0.01), leading to reduced resin polymerization. In the 2.0-mm and 2.5-mm tooth thickness groups, the depth of cure was significantly lower than in the control group without tooth specimens (p < 0.05).
  • Conclusions
    Ultimately, for tooth structures exceeding 2 mm, self-cure or dual-cure resin polymerization is thought to be more efficient than light polymerization.
When using light-cured composite resins as restorative materials in clinical practice, it is impossible for the light from the curing unit to be directed perpendicularly to all areas of the resin. It is very difficult for light to reach the deepest parts of the cavity, the axio-pulpal line angle in the proximal box, and deep undercut areas [1,2]. To achieve optimal polymerization, manufacturers recommend light curing not only from the occlusal surface but also from the buccal and lingual sides [2]. Additionally, in cases where tooth fragments are reattached due to crown fractures, the light-cured composite resin injected into the tooth cannot be directly exposed to light; instead, the light must pass through the tooth structure to reach the composite. In such circumstances, the general light-curing process without increased curing time or light irradiance may result in insufficient polymerization of the resin [3].
Although some previous studies [4,5] have measured light attenuation regarding the distance from the light-curing unit (LCU) and the intensity of light transmitted through resin or ceramic restorations, few studies have examined light transmittance through an actual tooth structure and the properties of that polymerized composite resin. Additionally, no experiments have controlled for light leakage while the LCU is in operation. Results from previous studies have indicated that, compared to light curing in the air, there is a significant decrease in light irradiance and depth of cure of resin when light is transmitted through a tooth structure. One study [2] reported about a 98% decrease in light transmission at a tooth thickness of 5.0 mm, while other studies [6,7] using enamel and dentin filters have reported a high light attenuation of about 80% or more, depending on thickness, which led to inferior resin properties. Therefore, in this study, actual teeth were used, and a specially designed mold was used to gather the light from a specific spot on the LCU, creating a more precise light transmission circumstance. Unpolymerized residual resin monomers are known to dissolve in the oral cavity and possess tissue toxicity [810]. Additionally, they reduce the structural stability of the composite, consequently decreasing its mechanical properties and durability, leading to a poor long-term prognosis for the restoration [1113]. The depth of cure of resin can be defined as the thickness at the point where the microhardness of the polymerized resin reaches 80% of the top surface hardness [1416]. The depth of cure calculated with microhardness values can be used as an indirect indicator of conversion degree and the mechanical properties of the resin.
The purpose of this study is to quantify the intensity of the curing light attenuated by the thickness of the tooth structure, compare the differences in light transmittance, and measure the microhardness of the resin polymerized beneath the tooth structure to determine the depth of cure of the resin. The null hypothesis of this study is that “there will be no difference in light transmittance and depth of cure depending on the thickness of the tooth structure.”
Materials
For the study, commercially available composite resin (Filtek Supreme Flowable Restorative; 3M Oral Care, St. Paul, MN, USA) and an LCU (B&Lite S; B&L Biotech Co., Daejeon, Korea) were used. Only the A3 shade of the composite resin was used. Tooth specimens were recently extracted from maxillary and mandibular premolars of patients aged 18 to 30 years undergoing orthodontic treatment. Teeth with caries, fractures, or resorption defects were excluded, and only teeth with intact pulp chambers and no calcification or abnormal change were used. To quantitatively analyze the reduction in light transmittance through the tooth structure, a radiometer (LM-300 Curing Light Meter; TPC Dental, Walnut, CA, USA) was used. The microhardness of the resin polymerized beneath the tooth structure was measured using a Vickers hardness tester (HM-124; Mitutoyo, Kawasaki, Japan).
Methods

1. Preparation of tooth specimens

This study received approval from the Institutional Review Board of Jeonbuk National University Hospital (CUH 2024-03-036-003) to use human teeth. Twenty extracted maxillary and mandibular premolars without caries or restorations were used for the experiment. All teeth were sectioned at the cementoenamel junction using a microsaw (Isomet, low speed; Buehler, Lake Bluff, IL, USA). Next, the cusps of the occlusal surfaces were flattened using a diamond bur, and then 10 circular specimens with a diameter of 6 mm and a height of 2.5 mm were prepared. For each test group, the specimens were polished sequentially from the bottom using 600-grit wet sandpaper to create specimens with thicknesses of 2.0, 1.5, 1.0, and 0.5 mm (Figure 1). Another 10 specimens with a diameter of 4 mm were prepared using the same process.

2. Resin specimen preparation

Following the standard suggested by the International Organization for Standardization (ISO), a metal split mold with a diameter of 4 mm and a height of 6 mm was used. After applying a mold release agent, composite resin was injected into the mold. A mylar strip was then placed on top to flatten the surface, followed by a custom mold that placed the tooth specimen above the resin. This was followed by 20 seconds of light curing (Figure 2). The manufacturer of the composite resin used in this experiment recommends light exposure at 550–1,000 mW/cm² for 20 seconds for a 2-mm thickness. This process was uniformly conducted across all five groups (0.5/1.0/1.5/2.0/2.5 mm) by adjusting the mold according to the thickness of the tooth specimen, and 10 resin specimens were prepared for each group. After curing, the composite resin was removed from the split mold, and the uncured resin at the bottom surface was scraped off with a metal instrument. The specimens were stored in distilled water at 37°C in a dark environment for 24 hours and kept in a light-proof container at room temperature to prevent additional polymerization by ambient light until further measurements. For the control group, 10 resin specimens were prepared following the same procedure but without a tooth specimen during the curing process.

3. Measurement of light irradiance

Ten teeth with a diameter of 6 mm and specially designed molds of varying heights were used. For the control group corresponding to each tooth thickness, the mold and LCU were positioned on a radiometer without a tooth, and the irradiance was measured at a fixed distance (0.5/1.0/1.5/2.0/2.5 mm) corresponding to the thickness of the tooth used. The control was irradiated at 0.5 mm. Next, after placing the prepared tooth, the measurement was repeated in the same manner for each group (Figure 3). The average value and standard deviation were calculated, and the reduction in irradiance according to tooth thickness was compared and analyzed against the initial values. Ten tooth specimens were used for the measurements in each group, and the light irradiance of the curing unit was periodically checked to ensure consistent output throughout the experiment. Prior to each measurement, the light-curing unit’s irradiance was verified using a radiometer to ensure consistent output across all specimens.

4. Measurement of resin microhardness and depth of cure

The microhardness (Vickers hardness number, VHN) of resin specimens prepared for each group (n = 10) was measured using a Vickers hardness tester (HM-124) (Figure 4). The hardness value of the surface closest to the LCU (ie, “upper surface”) was measured first. The lower, less-cured resin (ie, “lower surface”) was sequentially polished in 0.1-mm increments. After each polishing step, the hardness values were recorded and compared to those of the upper surface. To minimize measurement error, the indenter was applied to the center of the specimen. A load of 200 g was applied for 20 seconds during the hardness measurement, corresponding to a force of 1.961 N. The VHN value was automatically calculated by the tester using the following formula:
VHN=0.1022Fsinα2d2=0.1891×Fd2 ,
where F is the applied load (N), α is the angle of the indenter tip (136°), and d is the mean diagonal length of the indentation (mm).
The point at which the hardness value reached 80% or more of the upper surface hardness was defined as the depth of cure of the resin. For the control group, resin specimens were cured at a 0.5 mm distance in the absence of a tooth. A total of 60 specimens (10 per group) were used to calculate the average value and standard deviation of surface hardness.

5. Measurement of dentin area ratio

Randomly selected tooth specimens used in the experiment were bisected vertically, and the surface was observed using scanning electron microscopy (SEM; SU8230, Hitachi, Tokyo, Japan). SEM image analysis was conducted on teeth with the same diameter as in the light transmittance experiment, measuring the area ratio of dentin at different heights. The acquired image was processed using ImageJ (ver. 1.53s, National Institutes of Health, Bethesda, MD, USA) to identify the enamel and dentin areas, and the ratio was calculated through pixel analysis. After converting the image, the enamel portion was selectively isolated, and the dentin area ratio was calculated (Figure 5).

6. Data analysis

Measured data were analyzed using a statistical analysis program (IBM SPSS version 19.0; IBM Corp, Armonk, NY, USA). One-way analyses of variance and Tukey post hoc tests were conducted to examine the effect of tooth thickness on light transmittance. The Kruskal-Wallis test was employed to determine the statistical significance of the depth of cure of the resin, based on tooth thickness, between the control and experimental groups. Statistical significance was defined as p < 0.01 for light transmittance and p < 0.05 for depth of cure.
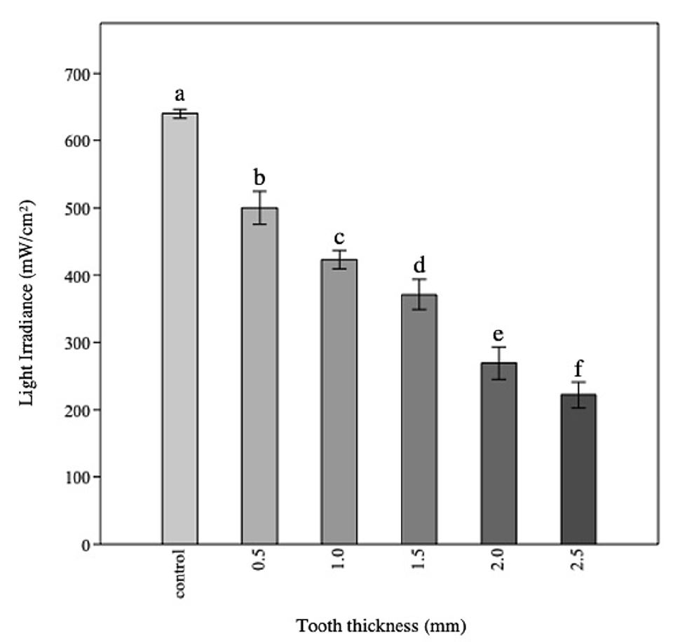
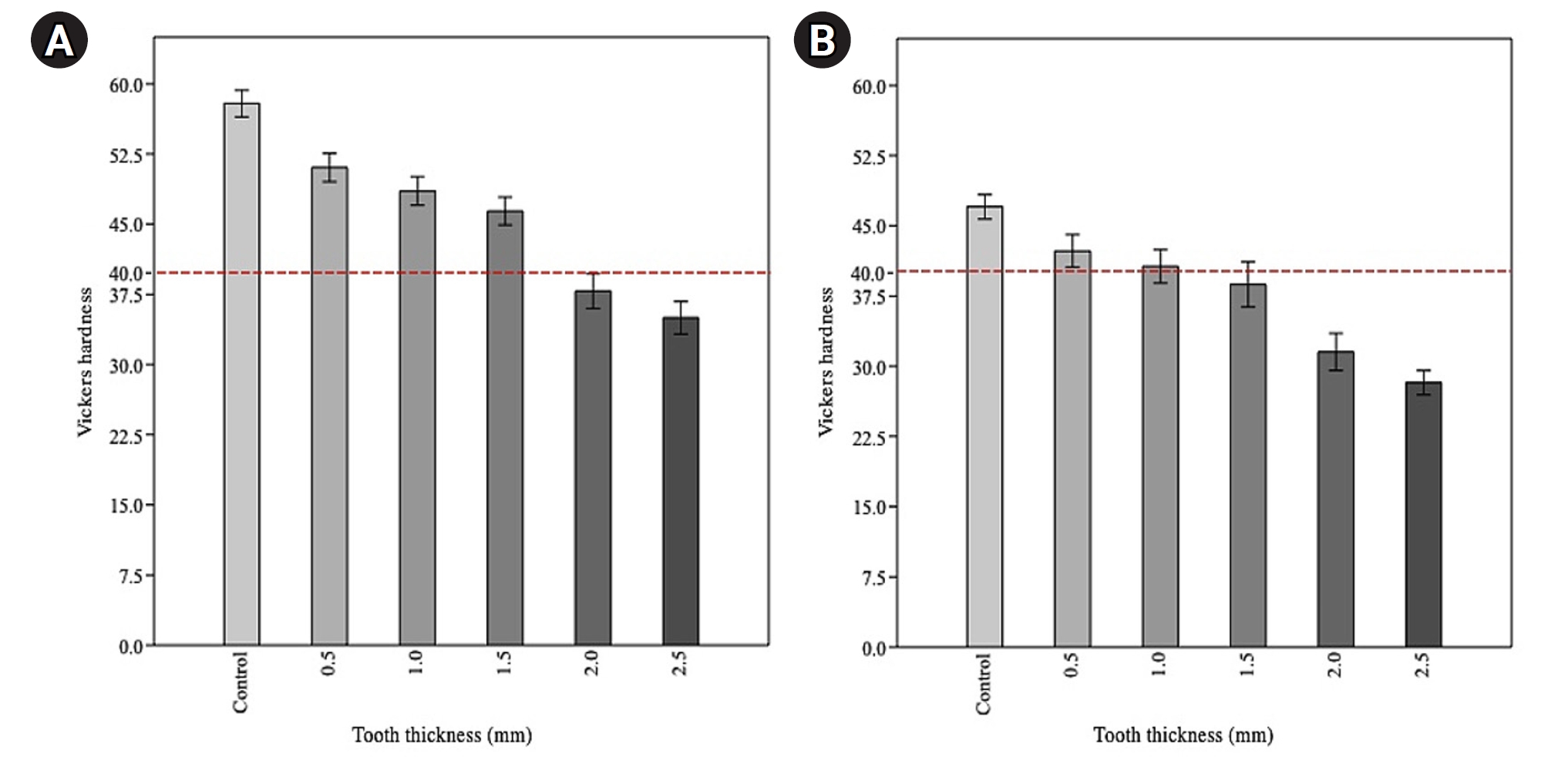
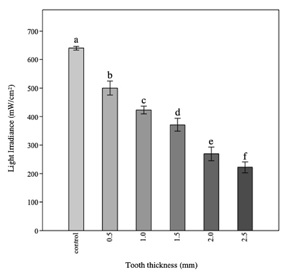
Figure 6 shows the mean and standard deviation of irradiance values measured in the absence of a tooth for the control group and through tooth structures of various thicknesses for the other experimental groups. Transmitted light irradiance significantly decreased as tooth thickness increased (p < 0.01). Among the experimental groups, the highest mean irradiance was observed in the 0.5-mm tooth group (530 mW/cm²), while the lowest was in the 2.5-mm group (220 mW/cm²). The reduction rates in irradiance were 21.8% for the 0.5-mm group, 32.8% for the 1.0-mm group, 40.1% for the 1.5-mm group, 54.4% for the 2.0-mm group, and 61.7% for the 2.5-mm group.
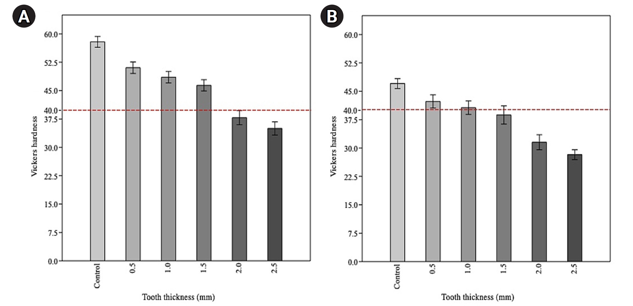
Figure 7 presents the VHN values of the upper surface of the cured resin for each group, as well as the hardness values at the point where the value reached 80% or more of the upper surface hardness. The hardness values of both the upper and lower surfaces were highest in the control group. The VHN values for the upper surface of the resin were relatively low in the 2.0-mm group (37.8) and the 2.5-mm group (34.1) compared to other groups. Except for these two groups, the hardness values in all other groups were greater than 40. Both the upper and lower hardness values were lower than those of the control when the light passed through the tooth, and hardness decreased as the thickness of the tooth increased.
Table 1 shows the depth of cure of the resin based on the measured hardness values. The depth of cure was significantly higher in the control group (p < 0.05) and decreased with increasing tooth thickness. The 2.0-mm and 2.5-mm tooth groups showed a significant difference in depth of cure compared to the control group, but the difference between these two groups was not significant (p = 0.241).
Figure 8 presents a graph of the ratio of resin depth of cure and irradiance in the experimental groups compared to the control group. As the thickness of the tooth increased, the depth of cure and light irradiance consistently decreased, and the two values showed similar patterns of reduction. In the 2.0-mm and 2.5-mm tooth groups, both values were less than 50%.
The dentin area ratio varied by the thickness of the tooth and showed a significant decrease to the occlusal surface (Table 2). It can be inferred that the greater the proportion of dentin in the tooth specimen, the greater is the reduction in light transmittance (Figure 5).
Composite resin has become an indispensable material in modern restorative dentistry. Based on the polymerization mechanism, composite resins are categorized into self-cured, light-cured, or dual-cured types, with light-cured resins being used for most direct restorations. This resin is typically polymerized using blue light in the 450 to 500 nm wavelength range. When exposed to such light, the primary photoinitiator, camphorquinone, breaks down and generates free radicals, which initiate the opening of the double bonds in resin monomers. This process rapidly triggers chain growth, leading to the formation of polymer molecules. However, if the resin is not exposed to sufficient light energy, incomplete conversion of monomers occurs, resulting in inadequate polymerization. This insufficient polymerization compromises the material’s physical properties and can lead to increased fracture rates, wear, secondary caries, and ultimately early failure of the restoration. Appropriate polymerization is crucial for the longevity and success of restoration.
In this study, we observed a significant reduction in light irradiance when transmitted through the tooth structure, which consequently led to a reduction in the depth of cure of resin. The reduction rate increased as the thickness of the tooth structure increased, and the null hypothesis was rejected. There has been very little research on light transmittance and the properties of resin polymerized under varying tooth thicknesses. To the best of our knowledge, this is the first study to control light leakage from a curing unit. Also, to minimize variability, all extracted teeth were premolars with intact crowns, free of caries or restorations. The enamel-dentin discs were prepared using standardized procedures to maintain consistent thickness.
In Figure 6, as the thickness of the tooth increases, there is a significant reduction in light irradiance. Specifically, in the 0.5-mm tooth thickness group, irradiance decreased by about 21.8% and 59.9% at 1.5 mm and by 61.7% at 2.5 mm. In a previous study [2] using tooth structures with thicknesses ranging from 1.5 mm to 5.0 mm, the irradiance was reduced by about 71% at 1.5 mm and by about 98% at 5.0 mm. The reduction in light irradiance based on the thickness of the tooth structure was greater in previous studies compared to this study. This difference might be attributed to the lack of control of light leakage in previous studies during curing and measurement of irradiance at 0 mm as a fixed reference point. Generally, at least 300–400 mW/cm² of irradiance is required for adequate light curing [17]. In the tooth groups with a thickness of 2.0 mm and 2.5 mm, the transmitted irradiance did not reach 300 mW/cm², suggesting that standard light-curing time may not be sufficient to achieve adequate resin polymerization.
Flowable composite resin was selected for this experiment due to its higher translucency and ease of handling in thin layers, making it suitable for evaluating light transmittance and depth of cure in constrained geometries. Depending on the type and translucency of composite resin, the recommended curing conditions vary. However, manufacturers generally suggest 20 seconds of exposure to 500–800 mW/cm² of light when polymerizing a light-cured composite at 2 mm. The curing light used in this experiment was an LED type, with an 800 mW/cm² minimum output suggested by the manufacturer.
The depth of cure of the resin also showed considerable differences depending on the thickness of the tooth structure, except for the 2.0-mm and 2.5-mm tooth groups. The average depth of cure in the control group was 3.33 ± 0.1 mm, which significantly decreased to 1.09 ± 0.03 mm as the thickness increased to 2.5 mm (Table 1). Previous studies [2,4,5] reported that the reduction in depth of cure was not as significant as the decrease in light transmittance. However, in the present study, the reductions in light transmittance and depth of cure based on tooth thickness were similar (Figure 8). This may be because the cure depth was determined by measuring the microhardness of the resin surface without using the conventional ISO scraping method. ISO introduced a method for measuring the depth of cure of resin by scraping off the uncured resin beneath, but several studies have noted that the ISO 4049 method overestimates the actual depth of cure [18]. Therefore, some authors suggest that the depth of cure be defined by comparing the hardness values of the top and bottom rather than simply scraping off the uncured resin [19,20]. Indeed, in the present experiment, the depth of cure measured after scraping off the uncured resin from all groups was higher than that based on hardness.
There are numerous studies [14,21,22] regarding the quality and properties of the polymerization of light-cured resin. The degree of conversion, which refers to the ratio of monomer conversion to composite material, is important in determining the mechanical, physical, and biological properties of a restoration. The microhardness of the resin surface is generally used as an indicator of the material’s resistance to plastic deformation, wear, and attrition [23,24]. Furthermore, microhardness increases with the degree of cross-linking in the polymerization reaction, which indirectly represents the degree of conversion [25,26]. The depth of cure of resin is closely related to the quality and physical properties of the polymerization, and many methods have been introduced to assess this variable, including measuring the thickness of the portion remaining after removing the uncured lower part, measuring the hardness of the upper and lower sections and calculating the ratio, and using an optical microscope to visually identify the uncured boundary [20,27]. Regarding hardness, the point at which the ratio between the upper and lower sections reaches 0.8 to 0.85 is generally considered the point of cure [14,16,28].
Though there is no consensus on the optimal hardness, the values of commercially available light-cured composite resins range from 30 to 100 [29,30]. Some authors suggest that the hardness of a clinical composite resin should be at least 40 [29,31]. In the present study, the average hardness value of the resin's upper surface in the 2.0-mm and 2.5-mm tooth groups did not reach 40 (Table 1, Figure 7A). This indicates that a significant reduction in light transmittance at a tooth thickness exceeding 2.0 mm might prevent sufficient resin polymerization in clinical settings. For instance, when reattaching a fractured tooth fragment through resin injection, polymerization must occur using light transmitted through the tooth structure, and additional curing time may be required to overcome the thickness of the outer tooth structure. In such cases, extending the curing time beyond the standard duration could help increase the mechanical properties.
Previous studies [7,32] have shown that applying an additional curing time 1.5 to 4 times longer than the standard can reduce residual monomer levels and elution. As the depth of cure of resin varies depending on the shade, translucency, and type of resin, there may be limitations in the results of this study, which used a single shade of light-cured resin [5,33]. Further research incorporating different composite resin shades and material properties would be beneficial in providing a more comprehensive understanding of the clinical implications.
This study showed that the transmitted light intensity and the curing depth decreased as the thickness of the tooth structure increased. This was especially noticeable when the tooth thickness exceeded 2.0 mm, at which point the cured resin did not achieve clinically sufficient hardness, indicating that the resin polymerization was insufficient. Ultimately, for tooth structures exceeding 2 mm, self-cure or dual-cure resin polymerization is thought to be more efficient than light polymerization. In conclusion, clinicians may need to consider that for tooth structures greater than 2 mm in thickness, self-cure or dual-cure resin polymerization may be more effective than light curing.

CONFLICT OF INTEREST

Kyung-San Min is the Editor-in-Chief of Restorative Dentistry and Endodontics and was not involved in the review process of this article. The authors declare no other conflicts of interest.

FUNDING/SUPPORT

The authors have no financial relationships relevant to this article to disclose.

AUTHOR CONTRIBUTIONS

Conceptualization: Min KS, Lee KW. Data curation, Investigation, Visualization: Bae SP, Lee MJ. Formal analysis: All authors. Methodology, Resources: Yu MK. Software: Bae SP. Supervision: Lee KW. Validation: Min KS. Writing - original draft: Bae SP, Lee MJ. Writing - review & editing: All authors.

All authors read and approved the final manuscript.

DATA SHARING STATEMENT

The datasets are not publicly available but are available from the corresponding author upon reasonable request.

Figure 1.
(A) Tooth sample preparation. (B) An enamel-dentin disc with different thicknesses. CEJ, cementoenamel junction.
rde-2025-50-e39f1.jpg
Figure 2.
Light curing of composite resin through the tooth structure.
rde-2025-50-e39f2.jpg
Figure 3.
Measurement of the light irradiance of the light-curing unit through a tooth structure.
rde-2025-50-e39f3.jpg
Figure 4.
Vickers hardness indentation of upper (A) and lower surfaces (B).
rde-2025-50-e39f4.jpg
Figure 5.
Scanning electron microscopic image of a bisected tooth specimen with a marked boundary to measure the dentin ratio. E, enamel; D, dentin.
rde-2025-50-e39f5.jpg
Figure 6.
Light transmittance by tooth thickness. The control group indicates light irradiance at 0.5 mm from the light-curing unit without a tooth specimen. Values with different lowercase letters are significantly different (p < 0.01).
rde-2025-50-e39f6.jpg
Figure 7.
Mean microhardness values (Vickers hardness number) of the upper surface (A) and lower surface (B) of the composite resin samples. The control group indicates microhardness at 0.5 mm from the light-curing unit without a tooth specimen.
rde-2025-50-e39f7.jpg
Figure 8.
Ratio of depth of cure and light irradiance to those of the control group. Control group indicates the depth of cure and light irradiance measured at 0.5 mm from the light curing unit without a tooth specimen.
rde-2025-50-e39f8.jpg
Table 1.
Depth of cure of flowable composite based on microhardness under various tooth thicknesses
Tooth thickness (mm) Depth of cure (mm) Decrease rate (%)
Control 3.33 ± 0.10A
0.5 2.62 ± 0.07AB 21.3
1.0 2.22 ± 0.06BC 34.2
1.5 2.08 ± 0.06C 41.1
2.0 1.26 ± 0.08D 62.1
2.5 1.09 ± 0.03D 67.2

Values are presented as mean ± standard deviation unless otherwise specified.

Values with different uppercase superscript letters indicate statistically significant difference (p < 0.05).

Table 2.
Ratio of dentin according to tooth thickness when light is transmitted
Tooth thickness (mm) Dentin ratio of tooth specimen (%)
0.5 3.5
1.0 22.5
1.5 43.4
2.0 56.8
2.5 64.5
  • 1. Sartori N, Knezevic A, Peruchi LD, Phark JH, Duarte S. Effects of light attenuation through dental tissues on cure depth of composite resins. Acta Stomatol Croat 2019;53:95-105.ArticlePubMedPMC
  • 2. Hamlin NJ, Bailey C, Motyka NC, Vandewalle KS. Effect of tooth-structure thickness on light attenuation and depth of cure. Oper Dent 2016;41:200-207.ArticlePubMedPDF
  • 3. Ozturk N, Usumez A, Usumez S, Ozturk B. Degree of conversion and surface hardness of resin cement cured with different curing units. Quintessence Int 2005;36:771-777.ArticlePubMed
  • 4. Price RB, Murphy DG, Dérand T. Light energy transmission through cured resin composite and human dentin. Quintessence Int 2000;31:659-667.PubMed
  • 5. Hyun HK, Christoferson CK, Pfeifer CS, Felix C, Ferracane JL. Effect of shade, opacity and layer thickness on light transmission through a nano-hybrid dental composite during curing. J Esthet Restor Dent 2017;29:362-367.ArticlePubMedPDF
  • 6. Arikawa H, Kanie T, Fujii K, Fukui K, Homma T. Mechanical properties of light-cured composite resins cured through filters that simulate enamel. Dent Mater J 2002;21:147-155.ArticlePubMed
  • 7. Arikawa H, Kanie T, Fujii K, Ban S, Takahashi H. Light-attenuating effect of dentin on the polymerization of light-activated restorative resins. Dent Mater J 2004;23:467-473.ArticlePubMed
  • 8. dos Santos RL, de Sampaio GA, de Carvalho FG, Pithon MM, Guênes GM, Alves PM. Influence of degree of conversion on the biocompatibility of different composites in vivo. J Adhes Dent 2014;16:15-20.ArticlePubMed
  • 9. Cebe MA, Cebe F, Cengiz MF, Cetin AR, Arpag OF, Ozturk B. Elution of monomer from different bulk fill dental composite resins. Dent Mater 2015;31:e141-e149.Article
  • 10. Durner J, Obermaier J, Draenert M, Ilie N. Correlation of the degree of conversion with the amount of elutable substances in nano-hybrid dental composites. Dent Mater 2012;28:1146-1153.Article
  • 11. Sideridou ID, Achilias DS. Elution study of unreacted Bis-GMA, TEGDMA, UDMA, and Bis-EMA from light-cured dental resins and resin composites using HPLC. J Biomed Mater Res B Appl Biomater 2005;74:617-626.ArticlePubMed
  • 12. Moldovan M, Balazsi R, Soanca A, Roman A, Sarosi C, Prodan D, et al. Evaluation of the degree of conversion, residual monomers and mechanical properties of some light-cured dental resin composites. Materials (Basel) 2019;12:2109.ArticlePubMedPMC
  • 13. Price RB, Shortall AC, Palin WM. Contemporary issues in light curing. Oper Dent 2014;39:4-14.ArticlePubMedPDF
  • 14. Galvão MR, Caldas SG, Bagnato VS, de Souza Rastelli AN, de Andrade MF. Evaluation of degree of conversion and hardness of dental composites photo-activated with different light guide tips. Eur J Dent 2013;7:86-93.PubMedPMC
  • 15. Polydorou O, Manolakis A, Hellwig E, Hahn P. Evaluation of the curing depth of two translucent composite materials using a halogen and two LED curing units. Clin Oral Investig 2008;12:45-51.ArticlePubMedPDF
  • 16. Alrahlah A, Silikas N, Watts DC. Post-cure depth of cure of bulk fill dental resin-composites. Dent Mater 2014;30:149-154.ArticlePubMed
  • 17. Quance SC, Shortall AC, Harrington E, Lumley PJ. Effect of exposure intensity and post-cure temperature storage on hardness of contemporary photo-activated composites. J Dent 2001;29:553-560.ArticlePubMed
  • 18. Flury S, Hayoz S, Peutzfeldt A, Hüsler J, Lussi A. Depth of cure of resin composites: is the ISO 4049 method suitable for bulk fill materials? Dent Mater 2012;28:521-528.ArticlePubMed
  • 19. Moore BK, Platt JA, Borges G, Chu TM, Katsilieri I. Depth of cure of dental resin composites: ISO 4049 depth and microhardness of types of materials and shades. Oper Dent 2008;33:408-412.ArticlePubMedPDF
  • 20. DeWald JP, Ferracane JL. A comparison of four modes of evaluating depth of cure of light-activated composites. J Dent Res 1987;66:727-730.ArticlePubMedPDF
  • 21. Wang WJ, Grymak A, Waddell JN, Choi JJ. The effect of light curing intensity on bulk-fill composite resins: heat generation and chemomechanical properties. Biomater Investig Dent 2021;8:137-151.ArticlePubMedPMC
  • 22. Calheiros FC, Daronch M, Rueggeberg FA, Braga RR. Degree of conversion and mechanical properties of a BisGMA:TEGDMA composite as a function of the applied radiant exposure. J Biomed Mater Res B Appl Biomater 2008;84:503-509.ArticlePubMed
  • 23. Mayworm CD, Camargo SS, Bastian FL. Influence of artificial saliva on abrasive wear and microhardness of dental composites filled with nanoparticles. J Dent 2008;36:703-710.ArticlePubMed
  • 24. Say EC, Civelek A, Nobecourt A, Ersoy M, Guleryuz C. Wear and microhardness of different resin composite materials. Oper Dent 2003;28:628-634.PubMed
  • 25. Watts DC, Amer OM, Combe EC. Surface hardness development in light-cured composites. Dent Mater 1987;3:265-269.ArticlePubMed
  • 26. Rueggeberg FA, Ergle JW, Mettenburg DJ. Polymerization depths of contemporary light-curing units using microhardness. J Esthet Dent 2000;12:340-349.ArticlePubMed
  • 27. Ferracane JL. Correlation between hardness and degree of conversion during the setting reaction of unfilled dental restorative resins. Dent Mater 1985;1:11-14.ArticlePubMed
  • 28. Bouschlicher MR, Rueggeberg FA, Wilson BM. Correlation of bottom-to-top surface microhardness and conversion ratios for a variety of resin composite compositions. Oper Dent 2004;29:698-704.PubMed
  • 29. Aravamudhan K, Rakowski D, Fan PL. Variation of depth of cure and intensity with distance using LED curing lights. Dent Mater 2006;22:988-994.ArticlePubMed
  • 30. Yılmaz Atalı P, Doğu Kaya B, Manav Özen A, Tarçın B, Şenol AA, Tüter Bayraktar E, et al. Assessment of micro-hardness, degree of conversion, and flexural strength for single-shade universal resin composites. Polymers (Basel) 2022;14:4987.ArticlePubMedPMC
  • 31. Poggio C, Lombardini M, Gaviati S, Chiesa M. Evaluation of Vickers hardness and depth of cure of six composite resins photo-activated with different polymerization modes. J Conserv Dent 2012;15:237-241.ArticlePMC
  • 32. de Mendonça BC, Soto-Montero JR, de Castro EF, Kury M, Cavalli V, Rueggeberg FA, et al. Effect of extended light activation and increment thickness on physical properties of conventional and bulk-filled resin-based composites. Clin Oral Investig 2022;26:3141-3150.ArticlePubMedPDF
  • 33. Rodriguez A, Yaman P, Dennison J, Garcia D. Effect of light-curing exposure time, shade, and thickness on the depth of cure of bulk fill composites. Oper Dent 2017;42:505-513.ArticlePubMedPDF

Tables & Figures

REFERENCES

    Citations

    Citations to this article as recorded by  

      • ePub LinkePub Link
      • Cite
        CITE
        export Copy Download
        Close
        Download Citation
        Download a citation file in RIS format that can be imported by all major citation management software, including EndNote, ProCite, RefWorks, and Reference Manager.

        Format:
        • RIS — For EndNote, ProCite, RefWorks, and most other reference management software
        • BibTeX — For JabRef, BibDesk, and other BibTeX-specific software
        Include:
        • Citation for the content below
        Difference in light transmittance and depth of cure of flowable composite depending on tooth thickness: an in vitro experimental study
        Restor Dent Endod. 2025;50(4):e39  Published online November 28, 2025
        Close
      • XML DownloadXML Download
      Figure
      • 0
      • 1
      • 2
      • 3
      • 4
      • 5
      • 6
      • 7
      Related articles
      Difference in light transmittance and depth of cure of flowable composite depending on tooth thickness: an in vitro experimental study
      Image Image Image Image Image Image Image Image
      Figure 1. (A) Tooth sample preparation. (B) An enamel-dentin disc with different thicknesses. CEJ, cementoenamel junction.
      Figure 2. Light curing of composite resin through the tooth structure.
      Figure 3. Measurement of the light irradiance of the light-curing unit through a tooth structure.
      Figure 4. Vickers hardness indentation of upper (A) and lower surfaces (B).
      Figure 5. Scanning electron microscopic image of a bisected tooth specimen with a marked boundary to measure the dentin ratio. E, enamel; D, dentin.
      Figure 6. Light transmittance by tooth thickness. The control group indicates light irradiance at 0.5 mm from the light-curing unit without a tooth specimen. Values with different lowercase letters are significantly different (p < 0.01).
      Figure 7. Mean microhardness values (Vickers hardness number) of the upper surface (A) and lower surface (B) of the composite resin samples. The control group indicates microhardness at 0.5 mm from the light-curing unit without a tooth specimen.
      Figure 8. Ratio of depth of cure and light irradiance to those of the control group. Control group indicates the depth of cure and light irradiance measured at 0.5 mm from the light curing unit without a tooth specimen.
      Difference in light transmittance and depth of cure of flowable composite depending on tooth thickness: an in vitro experimental study
      Tooth thickness (mm) Depth of cure (mm) Decrease rate (%)
      Control 3.33 ± 0.10A
      0.5 2.62 ± 0.07AB 21.3
      1.0 2.22 ± 0.06BC 34.2
      1.5 2.08 ± 0.06C 41.1
      2.0 1.26 ± 0.08D 62.1
      2.5 1.09 ± 0.03D 67.2
      Tooth thickness (mm) Dentin ratio of tooth specimen (%)
      0.5 3.5
      1.0 22.5
      1.5 43.4
      2.0 56.8
      2.5 64.5
      Table 1. Depth of cure of flowable composite based on microhardness under various tooth thicknesses

      Values are presented as mean ± standard deviation unless otherwise specified.

      Values with different uppercase superscript letters indicate statistically significant difference (p < 0.05).

      Table 2. Ratio of dentin according to tooth thickness when light is transmitted


      Restor Dent Endod : Restorative Dentistry & Endodontics
      Close layer
      TOP